【去雾论文阅读】Saturation Based Iterative Approach for Single Image Dehazing
论文:Saturation Based Iterative Approach for Single Image Dehazing
作者:Zongwei Lu, Bangyuan Long , and Shiqi Yang
期刊:SIGNAL PROCESSING LETTERS
年份:2020
目录
- 摘要
- 动机
- 方法
摘要
这篇论文从一个新的角度探讨了暗通道。 通过重新配制暗通道,发现暗通道与饱和度和亮度密切相关。 然后介绍了一种无需计算暗信道即可估算传输的新颖方法,它可以防止传输被低估。 为了防止场景辐射过饱和,并有效消除雾度,提出了一种对饱和度具有可容忍边界的迭代方法。 定性和定量实验结果表明,与许多其他算法相比,该算法可以有效地恢复场景辐射,其视觉质量可比或更高。 此外,它的运行速度比大多数最新技术都要快。
1.由于有雾图像饱和度被降低,且饱和度越低暗通道越亮,透射图则被低估,而且亮度越大的像素饱和度越低,基于此提出加入非线性模型来适当增加饱和度,防止传输图被低估,并且为了防止传输图被过度估计用全局像素的饱和度替代局部块的饱和度,最后用导向滤波细化传输图。
2.防止场景亮度过饱和有效地去雾,提出了一种有限制的饱和度的迭代方法,得到最终场景反射图。
动机
基于大气散射模型和暗通道先验,无雾图像的暗通道可表示为:

暗通道先验方法中认为,Jdark非常低且趋近于0,可记为:

并且假设透射率在局部块Ω(x)中是一个常量,则透射率表示为:

但是,作者考虑到实际公式(3)在暗通道中趋于0,但不为0,所以公式(4)严格地表示为:

可以看出公式(4)的值小于公式(5)的值,因此,暗通道先验方法经常低估了透射率。
方法
定义了I(x)的暗通道:

并重新定义为:


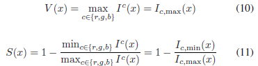
在HSV空间,亮度V(x)和饱和度S(x)被定义为:

将(10)(11)带入到(7)中,可得到:

公式(12)表明暗通道与模糊图像的饱和度和亮度相关。 因此,这篇论文从新的角度探索暗通道。
首先,因为模糊图像的饱和度降低了,所以根据公式(12),暗通道会更亮。基于等式(4)透射率则被低估。如下图所示,由输入的模糊图像(a)可以看出,亮度越大饱和度越低,透射图(d)中的白色大理石被低估了。

根据公式(12)通过增加饱和度使暗通道变暗,来防止透射率被低估。
同时,根据公式(4)和公式(12),饱和度不能增加过大,否则会使透射率过大,无法有效去雾。因此,
