应用Maple软件推导直升机旋翼的气动力和力矩
首先对基于Maple软件进行推导的直升机旋翼所呈现的拉力、侧向力、后向力以及反扭矩系数等动力学参数进行分析考察
<video controls use="src", allowfullscreen="true">
应用Maple软件推导直升机旋翼的气动力和力矩
一旦视频无法在线播放,请您将注意力集中在浏览器地址栏,并直接复制该视频的链接地址:https://www.bilibili.com/video/av91619013。
1 文章目的
旨在通过本研究为更多渴望了解直升机技术的读者提供学习资源。同时致力于延续前辈们在直升机领域的重要贡献(毕竟就算是南航直升机专业的研究生也没有多少人推导过这些公式)。此外还希望能够通过使用Maple软件等工具向读者展示专业知识的实际应用。基于之前的项目经验本人将其中涉及的气动力学与力矩计算原理进行了深入探讨并将其中的具体计算步骤进行了系统整理。
2 推导过程
推导过程基于叶素理论(其中将直升机旋翼桨叶离散化处理为若干个独立单元体)。整体思路为:
① 计算得到单个叶素体所受的气动力参数包括法向力、切向力、轴向力以及扭矩等;
② 分别对周向方向上的积分运算以及桨片半径方向上的积分运算进行求解,并乘以总的片数以获得整个旋翼结构所受的各项总载荷;
③ 通过简化公式并实施无量纲化处理后获得各项非无量纲系数值即法向力系数、切向力系数、轴向力系数以及扭矩系数等关键参数。
Maple软件的具体实现如下:
(1)计算微元气动力和力矩如下:

对上述四个公式进行计算时,请确保输入叶片沿切线方向的气流速度uT、叶片径向方向的气流速度uP、桨叶摆动角度β以及叶片产生的升力系数dY和阻力系数dX。
(2)进行周向和径向积分
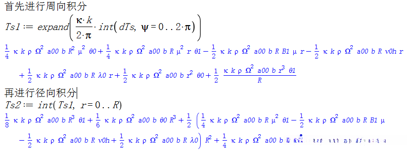
① 拉力(Ts)

在本研究中采用了Maple软件的内置功能进行计算。其中k代表桨片的数量。
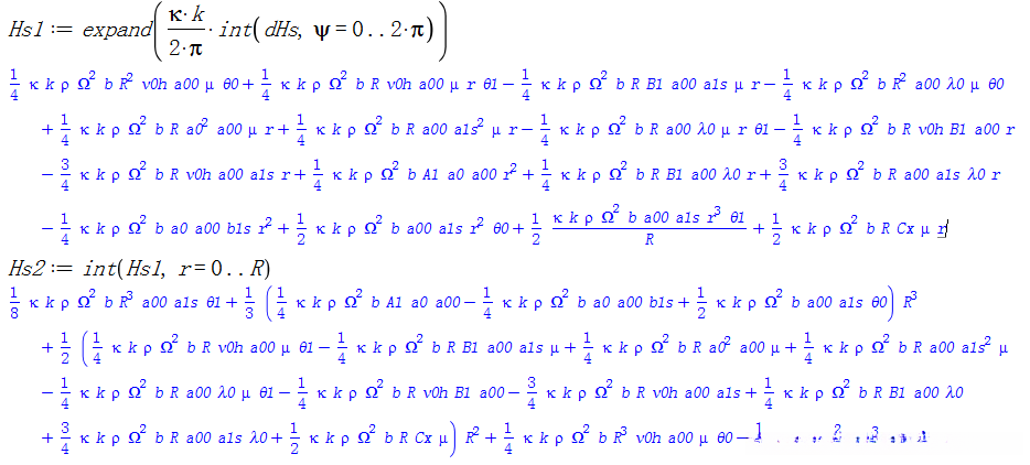
②后向力(Hs)

侧向力Ss及反扭矩Mk也是采用同样的方法。
(3)化简及无量纲化

通过旋翼实度参数σ的简化运算,在此基础上采用无量纲化的处理方法引入变量f_F和f_M。经过详细分析与计算步骤的推导与验证……最终能够获得旋翼拉力系数C_T、后向力系数C_H、侧向力系数C_S以及反扭矩系数m_k。




上面的结果与教材《直升机飞行动力学》中的结果进行了对比,并完全一致。需要注意的是,推导所得的结果适用于直升机处于静止飞行状态(即横向速度和机体角速度均为零),其中旋翼偏转量保持不变,并且诱导速度呈现均匀入流特征。
3 结论
本文所展开的研究过程在整个气动力学与力矩系数研究体系中处于最终阶段,在其 preceding 阶段还需要完成以下关键研究内容:
(1) 对叶素绝对速度 uT 和 uP 的明确解析及其数学表达式进行详细推导;
(2) 探讨微元气动力与力矩 (dTs, dHs, dSs 和 dMk) 的形成机制及其计算方法;
(3) 对桨叶摆动运动参数 a0, a1s 和 b1s 的明确解析及其物理意义进行深入分析。
本人对上述全部推导过程进行了详尽的推导,在深入理解书本上所述推导方法的基础上
Q Q:2481720766
邮箱:2481720766@qq.com
