coursera-斯坦福-机器学习-吴恩达-第1周笔记
coursera-斯坦福-机器学习-吴恩达-第1周笔记
文章目录
- coursera-斯坦福-机器学习-吴恩达-第1周笔记
-
-
0 前言
-
1 Introduction介绍-对应笔记lectur
-
1 Introduction介绍-对应笔记lecture1
-
- 1.1 机器学习应用
- 1.2 机器学习概念
- 1.3 机器学习分类
-
2 一个变量的线性回归 -对应lecture2
-
- 2.1 线性回归的表示
- 2.2 Cost function 代价函数
- 2.3 参数求解(❤梯度下降法❤)
- 2.4 总结
-
3 线性代数知识复习 -对应lecture3
-
- 3.1 概念
- 3.2 矩阵运算
-
0 前言
第一,这门课是最好的机器学习、深度学习入门教程之一,老师很有名气,是深度学习三驾马车之一的吴恩达,而且课程讲的很通俗易懂。
每堂课后面还有编程作业,一定要做。课程推荐使用Octave编程语言,只需要填写核心代码,很适合自学。这门语言很多人没有学过,有些排斥。但是学计算机的同志就是要保持对新事物新工具的热爱,更何况这门语言并不难。
第二,我发现网络上关于这门课的笔记有很多,但是质量参差不齐。有的虎头蛇尾甚至半途而废;有的几乎就是复制英文讲义,没有自己的理解。这也是我写笔记的目的,顺便强化自己的理解。
第三,这门课有官方笔记,自己下载下来,有条件的打印出来。用笔实际写写画画理解会更深刻,比如我的。
[外链图片转存失败(img-xQxVCtOZ-1566960874849)(http://oqy7bjehk.bkt.clouddn.com/17-12-6/86302226.jpg)]
1 Introduction介绍-对应笔记lectur
1 Introduction介绍-对应笔记lecture1
1.1 机器学习应用
这一章首先简单介绍了,机器学习在现实生活中用的应用例子。吹了一波机器学习未来应用宏伟蓝图,好像又回到大学教室听老师吹牛的感觉~
1.2 机器学习概念
介绍了机器学习的概念:A computer program is said to learn from experience E with respect to some task T and some performance measure P, if its performance on T, as measured by P, improves with experience E.
主要包括了几个名词:你要做的任务T;以往可以学习经验的数据记录E;和判别记录做对否的判别器P
1.3 机器学习分类
- 监督学习 Supervised learning (已知经验数据E的对错标签“p”)
- 1.1 回归 regression(连续值)
- 1.2 分类 classification(离散值)
- 非监督学习 Unsupervised learning(有以往数据,但不知道他们的分类)
- 2.1 聚类 clustering
- 2.2 非聚类 non-clustering
2 一个变量的线性回归 -对应lecture2
这一节对应官方笔记lecture2。
2.1 线性回归的表示
起始给出了预测房价的例子。 像这样用一条线来模拟房价走势,就叫做线性回归。

这个问题属于监督问题,每个样本都给出了准确的答案。
同时因为房价是连续值,所以这是一个回归问题,对给定值预测实际输出。
公式:
h_\theta(x) = \theta_0 + \theta_1*x
其中两个θ是位置参数,我们的目的是求出他俩的值。
2.2 Cost function 代价函数
我们取怎样的θ值可以使预测值更加准确呢?
想想看,我们应使得每一个预测值hθ和真实值y差别不大,可以定义代价函数如下
J(\theta_0, \theta_1) = \dfrac {1}{2m} \displaystyle \sum _{i=1}^m \left ( \hat{y}_{i}- y_{i} \right)^2 = \dfrac {1}{2m} \displaystyle \sum _{i=1}^m \left (h_\theta (x_{i}) - y_{i} \right)^2
这样,只需要通过使J值取最小,即可满足需求
那么怎么使J最小化呢?看图:误差与两个参数的关系。

我们看到通过改变斜线的斜率 误差变得很小。也就是选择了右图的中心圈子里。
2.3 参数求解(❤梯度下降法❤)
从上图,我们直观的看到,圈子中心误差最小。那么怎样从数学的角度计算得到那个“中心点”呢?老师给的方法是“梯度下降”

如图,当我们的成本函数处于图的坑底时,即当它的值是最小值时,我们将知道我们已经成功了。
红色箭头显示图中的最小点。我们这样做的方式是通过我们的成本函数的导数(函数的切线)。切线的斜率是那个点的导数,它会给我们一个走向的方向。我们降低成本功能的方向与最陡的下降。每一步的大小由参数α决定,称为学习率。
公式如下:
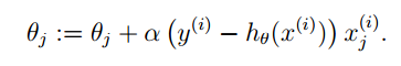
\theta_j = \theta_j - \alpha\frac{\partial}{\partial\theta_j}J(\theta_0, \theta_1)
重复计算这个公式,直到函数收敛。
注意更新theta值应同时更新

其中的α称之为步长,在最优化课中我们有好几种方法来确定这个α的值。
这个α如果过小,则收敛很慢;如果过大,则可能导致不收敛。
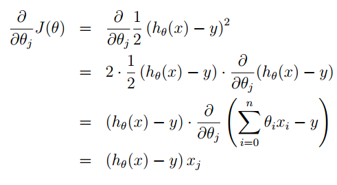
对于J(θ)的偏导数学推导过程如下:

在这里你就看到,我们在构造J(θ)时1/2的出现就是为了与指数的在求导时抵消。 经过简单的替换之后我们就可以得到θ新的迭代公式:

2.4 总结
到这里,我们就学习了一个最最简单的机器学习模型求解的全部内容。我们梳理一下,一共有三个层次 的 三个公式。
第一层 模型函数
h_\theta(x) = \theta_0 + \theta_1*x
第二层 代价函数
J(\theta_0, \theta_1) = \dfrac {1}{2m} \displaystyle \sum _{i=1}^m \left (h_\theta (x_{i}) - y_{i} \right)^2
第三层 GD法求解参数
\theta_j = \theta_j - \alpha\frac{\partial}{\partial\theta_j}J(\theta_0, \theta_1)
就这么简单 ,就可以求出一个预测房价的线性回归模型。

3 线性代数知识复习 -对应lecture3
3.1 概念
线性代数知识,主要理解“向量”和“矩阵”两个概念即可。
[外链图片转存失败(img-THMjQzTn-1566960874858)(https://dn-anything-about-doc.qbox.me/document-uid49570labid2865timestamp1493280416377.png)]
a是一个3×2的矩阵,b是一个2×3的矩阵,c是一个3×1的矩阵,d是一个1×2的矩阵。
其中,c只有一列,我们也可以称c为列向量,d只有一行,我们也可以称d为行向量。本课程中,对于向量,默认都是指列向量。
3.2 矩阵运算
- 矩阵的数乘运算
一个标量(你可以直接理解为一个数字)乘以矩阵,得到的结果为矩阵中的每个元素和该标量相乘,如下
[外链图片转存失败(img-1FNesTnp-1566960874859)(https://dn-anything-about-doc.qbox.me/document-uid49570labid2865timestamp1493281897854.png)]
- 矩阵的转置运算
转置运算通过在矩阵右上角添加一“撇”表示。
[外链图片转存失败(img-0MLq1uTw-1566960874860)(https://dn-anything-about-doc.qbox.me/document-uid49570labid2865timestamp1493281947905.png)]
- 矩阵之间的加减法
矩阵之间的加减法要求参与运算的两个矩阵尺寸相同,运算的结果等于两个矩阵对应元素相加
[外链图片转存失败(img-GL4FTnqR-1566960874860)(https://dn-anything-about-doc.qbox.me/document-uid49570labid2865timestamp1493282210391.png)]
- 矩阵魔力的来源–矩阵之间的乘法
用第一个矩阵的行元素,乘第二个矩阵的列元素。所以矩阵乘法首先要求参与乘法运算的两个矩阵的尺寸能够“兼容”,具体的要求就是,第一个矩阵的列数与第二个矩阵的行数必须相同。
[外链图片转存失败(img-sYZdSCPo-1566960874861)(https://dn-anything-about-doc.qbox.me/document-uid49570labid2865timestamp1493282455569.png)]
