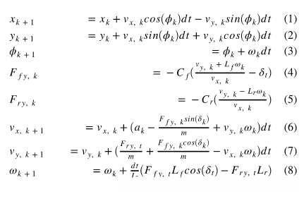
Dynamic Bicycle Model
发布时间
阅读量:
阅读量
Dynamic Bicycle Model

import math
dt = 0.1 # 单位:s
L = 5.0 # 单位:m
Lr = L / 2.0 # 单位:m
Lf = L - Lr
Cf = 1600.0 * 2.0 # 单位:N/rad
Cr = 1700.0 * 2.0 #单位: N/rad
Iz = 2250.0 #单位: kg/m2
m = 1500.0 # 单位:kg
class State:
def __init__(self, x=0.0, y=0.0, yaw=0.0, vx=0.01, vy=0.0, omega=0.0):
self.x = x
self.y = y
self.yaw = yaw
self.vx = vx
self.vy = vy
self.omega = omega
def update(s, a, delta):
s.x = s.x + s.vx * math.cos(s.yaw) * dt - s.vy * math.sin(s.yaw) * dt
s.y = s.y + s.vx * math.sin(s.yaw) * dt + s.vy * math.cos(s.yaw) * dt
s.yaw = s.yaw + s.omega * dt
Ffy = -Cf * math.atan2(((s.vy + Lf * s.omega) / s.vx - delta), 1.0)
Fry = -Cr * math.atan2((s.vy - Lr * s.omega) / s.vx, 1.0)
s.vx = s.vx + (a - Ffy * math.sin(delta) / m + s.vy * s.omega) * dt
s.vy = s.vy + (Fry / m + Ffy * math.cos(delta) / m - s.vx * s.omega) * dt
s.omega = s.omega + (Ffy * Lf * math.cos(delta) - Fry * Lr) / Iz * dt
return s
if __name__ == '__main__':
print("start Kinematic Bicycle model simulation")
import matplotlib.pyplot as plt
import numpy as np
T = 100
a = [1.0] * T
delta = [math.radians(1.0)] * T
# print(a, delta)
state = State()
x = []
y = []
yaw = []
vx, vy = [], []
time = []
t = 0.0
for (ai, di) in zip(a, delta):
t = t + dt
state = update(state, ai, di)
x.append(state.x)
y.append(state.y)
yaw.append(state.yaw)
vx.append(state.vx)
vy.append(state.vy)
time.append(t)
flg, ax = plt.subplots(1)
plt.plot(x, y)
plt.xlabel("x[m]")
plt.ylabel("y[m]")
plt.axis("equal")
plt.grid(True)
flg, ax = plt.subplots(1)
plt.plot(time, np.array(vx) * 3.6)
plt.xlabel("Time[km/h]")
plt.ylabel("velocity[m]")
plt.grid(True)
# flg, ax = plt.subplots(1)
# plt.plot([math.degrees(ibeta) for ibeta in beta])
# plt.grid(True)
plt.show()
代码解释
全部评论 (0)
还没有任何评论哟~
