优化算法系列-模拟退火算法(1)——0-1背包问题
发布时间
阅读量:
阅读量
优化算法系列之模拟退火算法(1)——0-1背包问题
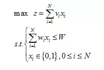
1问题描述
有一个窃贼在偷窃一家商店时发现有N件商品:第i件物品价值vi元,重wi磅,其中vi、wi都是整数。他希望带走的东西越值钱越好,但他的背包小,最多只能装下W磅的东西(W为整数)。如果每件物品或被带走或被留下,小偷应该带走哪几件东西?

2解空间
设xi表示第i件物品的取舍,1代表取,0代表舍,搜索空间为n元一维数组(x1,x2,x3,.....,xn)。因而解空间的取值范围可表示为(0,0,0,....,0),(0,0,0,......,1),(0,0,0,......,1,0),......,(1,1,1,1,......,1)。
以3个物品为例,解(0,1,0)表示(不取物品0,取物品1,不取物品2)。

3问题转化
给定W>0,wi>0,vi>0,要求找出一个n元的0-1向量(x1,x2,x3,......,xn),使得所取物品价值最大且重量之和小于W。

4求解结果
假设物品共10件,
其质量分别为8 12 24 16 6 9 35 21 18 19,
其价值分别为34 32 56 67 54 32 45 56 46 70,
背包能承受的最大质量为50。
根据模拟退火算法,通过MATLAB软件编程求得:

5求解代码
clc
clear all
close all
a0.95温度衰减速度
mar_length1000马氏链长度
k34325667543245564670物品价值
d81224166935211819物品重量
restriction50背包能够承受的最大重量
num物品数量
sol_new1随机生成初始解
E_currentE_current是当前解对应的目标函数,E_best是最优解,E_new是新解的目标函数值
t0973t0;
whiletf
for1:mar_length
产生随机扰动
temp1num);
sol_new(11,temp1);
检查是否满足约束
while1)
s'>restriction);if s
如果不满足约束随机放弃一个物品
temp21);
temp3length(temp2));
sol_new(temp2(temp3))sol_new(temp2(temp3));
elsebreak
end
end
计算背包中物品的价值模拟退火算法只能求最小值,所以价值取负
E_new');ifE_current
E_currentE_new;
sol_currentsol_new;
ifE_best
E_bestE_new;
sol_bestsol_new;
end
elseift))
E_currentE_new;
sol_currentsol_new;
else
sol_newsol_current;
end
end
end
ta;
end
disp('最优解为')
sol_best
disp('物品总价值为')
E_best
disp('背包中物品总重量')
sol_best'
摘录网站:
1. https://mp.weixin.qq.com/s?__biz=MzI5OTU4NTMwNQ==&mid=2247483792&idx=1&sn=c92c179896cecc45c8efc614863e2bf9&chksm=ec951be6dbe292f0027ddc877ecd3f910df724d9b6be336e0f5b07b70c9cb55920518994ed7b&scene=21#wechat_redirect
3. [( "模拟退火算法")
全部评论 (0)
还没有任何评论哟~
