SLAM系列之1 - ORB SLAM
发布时间
阅读量:
阅读量
• ORB
ORB(Oriented FAST and Rotated BRIEF)是oFAST和rBRIEF的组合,特点在于:
a)速度快: 通过FAST(features from accelerated segment test)作为特征检测算子,速度非常快,能达到SIFT算法的100倍;
FAST特征点检测是公认的比较快速的特征点检测方法,其定义基于特征点与周围图像灰度值差异,即:如果候选点周围领域内有足够多的像素点与该候选点的灰度值差别够大,则认为该候选点为一个特征点。
其中, I(p) 为当前像素点,ed 为像素差异阈值,N 为符合条件的像素点个数,如果数量大于 #Max(一般取总像素个数的75%),则认为 p 为特征点。
FAST有很多加速方法,比如提前采样测试(选择周围每隔90度角的4个点,如果差异小于3个,忽略),或者只选其中一部分像素进行比对,也就是我们常说的FAST-N,使用比较多的是FAST-9和FAST-12。
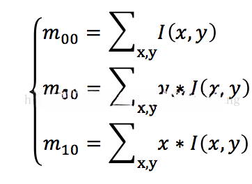
b)旋转不变性: 对FAST得到的特征点,添加主方向信息描述(Oriented),即提取一个小块patch,计算零阶矩(m0,0)和一阶矩(m01,m10);
c)独立描述子: 采用BRIEF算法来计算特征点的描述子。BRIEF算法的核心思想是在关键点P的周围以一定模式选取N个点对(下图#N=4仅为示意,一般取256或者512),把这N个点对的比较结果组合起来形成二进制串(例如10101011),即为描述子。

全部评论 (0)
还没有任何评论哟~


