视觉slam中的相机模型汇总 | 单目、双目、RGB-D
点击上方“3D视觉工坊”,选择“星标”
干货第一时间送达

著文者为"梦寐mayshine"。
该文章的完整链接地址为:https://zhuanlan.zhihu.com/p/94233848
本文为知乎平台发布文章《深度求索》的转载版本。
如需对该文章进行二次转载,请事先联系原作者获取书面授权。
- 运动模型
- 观测模型
单目相机 - 针孔相机模型

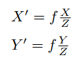
- 投影坐标:
相似三角形,得:

通过对称映射,整理得:

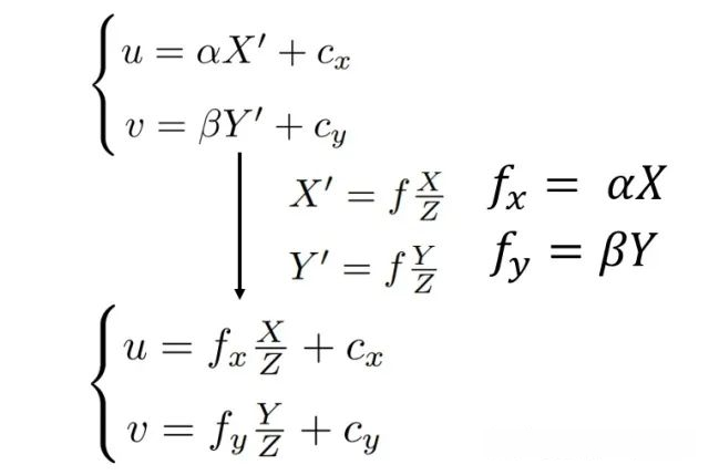
在像素坐标系中,默认坐标原点 o'设置于图像左上方。u轴沿着x轴方向延伸,v轴沿着y轴负方向延伸。该系统相对于成像平面存在比例缩放和平移偏移两种变换关系。我们分别在u、v轴方向上施加比例因子α和β。

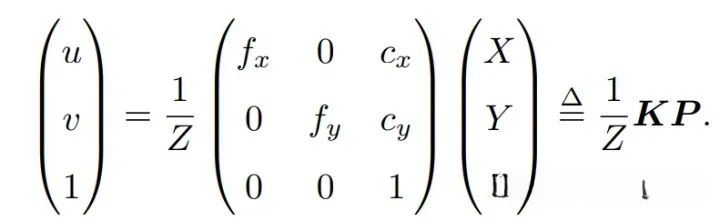
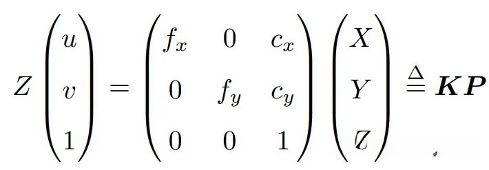
- 内参数矩阵K (fx fy cx cy) 通常在相机生产时已经固定(相机坐标系)


- 外参数 - (世界坐标系)
世界坐标系 - >相机坐标系 Tcw * Pw = Pc / RPw + t = Pc ->归一化平面


-
世界坐标系:固定点P:Pw,
-
相机坐标系:相机运动,由R,t变化描述,Pc=RPw+t
-
归一化相机坐标:投影到归一化平面Z=1上,得到归一化相机坐标Pc=[X/Z,Y/Z,1]T
-
像素坐标:乘以内参矩阵Puv=KPc
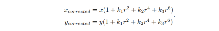
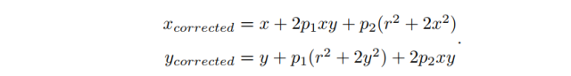
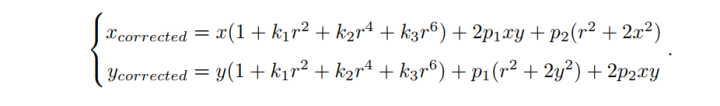
相机畸变
由透镜形状引起的畸变称之为径向畸变 :桶形畸变和枕形畸变


在相机组装过程中透镜和成像面无法实现严格平行时也会导致切向畸变发生。


径向畸变+切向畸变

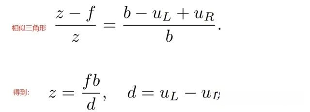
双目相机


RGB-D相机
- 返回RGB图 + 深度图Depth
利用红外结构光(Structured Light)技术实现对像素距离的测量。其中包括了如Kinect一代、ProjectTango一代以及IntelRealSense等设备。
基于飞行时间法(Time-of-Flight, ToF)原理,该技术可实现对各像素之间间距的精确计算。具体实施方式包括采用Kinect V2级设备以及当前市场上其他基于ToF原理的深度感知传感器。

图像

推荐阅读:
深入梳理|3D视觉全面规划
珍藏的3D视觉系统学习资源汇总(包含书籍、官方网址及视频教程等丰富内容)
最全面的三维视觉数据集整理
综述:六自由度姿态估计技术的最新综述(下)
该技术综述涉及机器视觉相关领域的关键技术研究与实践探索
综述
综述
综述
过去的时光中,在一起练习过哪些计算机视觉相关的比赛项目?
综述|基于深度学习的缺陷检测方法研究
该方法实现了对复杂三维环境的高效重建
综述|医学图像分析领域的学术论文
重磅!3DCVer-学术论文写作投稿交流群已成立
通过扫描二维码添加官方小助手微信账号(vx:xxxyyy_zxy),即可轻松加入3D视觉工坊-学术论文写作与投稿 微信交流群。该群旨在深入交流ICRA/IROS/ROBIO/CVPR/ICCV/ECCV等顶级学术会议(顶会)、IJCV/TIP等顶级期刊(顶刊)、SCI、EI等领域的写作技巧与投稿经验分享。该交流群特别关注学术论文写作技巧与投稿经验分享以及科研创新思路与论文发表策略探讨。
如欲加入细分领域专业交流群,请参考以下信息:我们目前开设有"3D视觉"、“CV深度学习"、“SLAM技术"、“三维重建技术"、“点云处理方法"、“自动驾驶技术"、“CV入门知识"、“三维测量技术"、“VR/AR应用"、“3D人脸识别技术"、“医疗影像分析""行人重识别""目标跟踪算法""视觉产品开发""视觉竞赛平台""车牌识别方案""硬件选型指导""学术交流圈层""求职发展互助群组”。扫描下方二维码免费申请加入。请按如下格式进行备注:"研究方向+学校/公司+昵称"(示例:"3D视觉+上海交大+静静")。成功申请后将根据研究领域自动匹配至相关兴趣群组,请及时查看消息通知。如有投稿需求,请随时联系!

▲长按加微信群或投稿

▲长按关注公众号
3D视觉从入门到精通平台
3D视觉从入门到精通平台
学习3D视觉核心技术,扫描查看介绍,3天内无条件退款

圈里有高质量教程资料、可答疑解惑、助你高效解决问题
