深度学习-卷积神经网络(CNN)
- CNN基本原理
- 经典CNN
卷积神经网络基本原理
卷积神经网络的基本结构大致包括:卷积层、激活函数、池化层、全连接层、输出层等。
卷积层
二维卷积运算:给定二维的图像 I 作为输入,二维卷积核 K ,卷积运算可表示为 S(i, j)=(I * K)(i, j)=\sum_{m} \sum_{n} I(i-m, j-n) K(m, n),卷积核需要进行上下翻转和左右反转
\left.S(i, j)=\operatorname{sum}\left(\begin{array}{ccc}I(i-2, j-2) & I(i-2, j-1) & I(i-2, j) \\ I(i-1, j-2) & I(i-1, j-1) & I(i-1, j) \\ I(i, j-2) & I(i, j-1) & I(i, j)\end{array}\right] . *\left[\begin{array}{rll}K(2,2) & K(2,1) & K(2,0) \\ K(1,2) & K(1,1) & K(1,0) \\ K(0,2) & K(0,1) & K(0,0)\end{array}\right]\right)
卷积实际上就是互相关

卷积的步长(stride) :卷积核移动的步长

卷积的模式 :Full**,** Same和Valid

数据填充 :如果我们有一个 𝑛×𝑛 的图像,使用𝑓×𝑓 的卷积核进行卷积操作,在进行卷积操作之前我们在图像周围填充 𝑝 层数据,输出的维度:

感受野 :卷积神经网络每一层输出的特征图(featuremap)上的像素点在输 入图片上映射的区域大小,即特征图上的一个点对应输入图上的区 域。

那么如何计算感受野的大小,可以采用从后往前逐层的计算方法:
- 第 i 层的感受野大小和第 *i-*1 层的卷积核大小和步长有关系,同时也与第 (*i-*1)层感受野大小有关
- 假设最后一层(卷积层或池化层)输出特征图感受野的大小(相对于其直 接输入而言)等于卷积核的大小

卷积层的深度(卷积核个数) :一个卷积层通常包含多个尺寸一致的卷积核

【卷积核的大小一般为奇数 奇数】 1 1,3 3,5 5,7 7都是最常见的。这是为什么呢?为什么没有偶数 偶数?
(1)更容易padding
在卷积时,我们有时候需要卷积前后的尺寸不变。这时候我们就需要用到padding。假设图像的大小,也就是被卷积对象的大小为n n,卷积核大小为k k,padding的幅度设为(k-1)/2时,卷积后的输出就为(n-k+2*((k-1)/2))/1+1=n,即卷积输出为n*n,保证了卷积前后尺寸不变。但是如果k是偶数的话,(k-1)/2就不是整数了。
(2)更容易找到卷积锚点
在CNN中,进行卷积操作时一般会以卷积核模块的一个位置为基准进行滑动,这个基准通常就是卷积核模块的中心。若卷积核为奇数,卷积锚点很好找,自然就是卷积模块中心,但如果卷积核是偶数,这时候就没有办法确定了,让谁是锚点似乎都不怎么好。
激活函数
激活函数是用来加入非线性因素,提高网络表达能力,卷积神经网络中最常用的是ReLU,Sigmoid使用较少。


1. ReLU函数
f(x)=\left\{\begin{array}{l}0, x\right.
ReLU 函数的优点:
- 计算速度快,ReLU函数只有线性关系,比Sigmoid和Tanh要快很多
- 输入为正数的时候,不存在梯度消失问题
ReLU 函数的缺点:
- 强制性把负值置为0,可能丢掉一些特征
- 当输入为负数时,权重无法更新,导致“神经元死亡”(学习率不 要太大)
2. Parametric ReLU
f(x)=\left\{\begin{array}{l}\alpha x, x\right.
- 当 𝛼=0.01 时,称作Leaky ReLU
- 当 𝛼 从高斯分布中随机产生时,称为Randomized ReLU(RReLU)
PReLU 函数的优点:
- 比sigmoid/tanh收敛快
- 解决了ReLU的“神经元死亡”问题
PReLU 函数的缺点:需要再学习一个参数,工作量变大
3. ELU函数
f(x)=\left\{\begin{array}{l}\alpha (e^x-1), x\right.
ELU 函数的优点:
- 处理含有噪声的数据有优势
- 更容易收敛
ELU 函数的缺点:计算量较大,收敛速度较慢
- CNN在卷积层尽量不要使用Sigmoid和Tanh,将导致梯度消失。
- 首先选用ReLU,使用较小的学习率,以免造成神经元死亡的情况。
- 如果ReLU失效,考虑使用Leaky ReLU、PReLU、ELU或者Maxout,此时一般情况都可以解决
特征图
- 浅层卷积层:提取的是图像基本特征,如边缘、方向和纹理等特征
- 深层卷积层:提取的是图像高阶特征,出现了高层语义模式,如“车轮”、“人脸”等特征
池化层
池化操作使用某位置相邻输出的总体统计特征作为该位置 的输出,常用最大池化**(max-pooling)和均值池化(average- pooling)**。
池化层不包含需要训练学习的参数,仅需指定池化操作的核大小、操作步幅以及池化类型。

池化的作用:
- 减少网络中的参数计算量,从而遏制过拟合
- 增强网络对输入图像中的小变形、扭曲、平移的鲁棒性(输入里的微 小扭曲不会改变池化输出——因为我们在局部邻域已经取了最大值/ 平均值)
- 帮助我们获得不因尺寸而改变的等效图片表征。这非常有用,因为 这样我们就可以探测到图片里的物体,不管它在哪个位置
全连接层
- 对卷积层和池化层输出的特征图(二维)进行降维
- 将学到的特征表示映射到样本标记空间的作用
输出层
对于分类问题:使用Softmax 函数
y_i = \frac{e^{z_i}}{\sum_{i = 1}^{n}e^{z_i}}
对于回归问题:使用线性函数
y_i = \sum_{m = 1}^{M}w_{im}x_m
卷积神经网络的训练
Step 1:用随机数初始化所有的卷积核和参数/权重
Step 2:将训练图片作为输入,执行前向步骤(卷积, ReLU,池化以及全连接层的前向传播)并计算每个类别的对应输出概率。
Step 3:计算输出层的总误差
Step 4:反向传播算法计算误差相对于所有权重的梯度,并用梯度下降法更新所有的卷积核和参数/权重的值,以使输出误差最小化
注:卷积核个数、卷积核尺寸、网络架构这些参数,是在 Step 1 之前就已经固定的,且不会在训练过程中改变——只有卷 积核矩阵和神经元权重会更新。

和多层神经网络一样,卷积神经网络中的参数训练也是使用误差反向传播算法,关于池化层的训练,需要再提一下,是将池化层改为多层神经网络的形式


将卷积层也改为多层神经网络的形式

计算卷积后特征图大小公式:
输入图片的尺寸:一般用n*n表示输入的image大小。
卷积核的大小:一般用 f*f 表示卷积核的大小。
填充(Padding):一般用 p 来表示填充大小。
步长(Stride):一般用 s 来表示步长大小。
输出图片的尺寸:一般用 o来表示。
如果已知n 、 f 、 p、 s 可以求得 o ,计算公式如下:

其中"[ ]"是向下取整符号,用于结果不是整数时进行向下取整。
经典卷积神经网络

1. LeNet-5
LeNet-5由LeCun等人提出于1998年提出,主要进行手写数字识别和英文字母识别。经典的卷积神经网络,LeNet虽小,各模块齐全,是学习 CNN的基础。
参考:http://yann.lecun.com/exdb/lenet/
Y. LeCun, L. Bottou, Y. Bengio, and P. Haffner. Gradient-based learning applied to document recognition. Proceedings of the IEEE, November 1998.
网络结构

输入层 :32*32 的图片,也就是相当于1024个神经元
C1层(卷积层) :选择6个 5*5 的卷积核,得到6个大小为32-5+1=28的特征图,也就是神经元的个数为 6*28*28=4704
S2层(下采样层) :每个下抽样节点的4个输入节点求和后取平均(平均池化),均值 乘上一个权重参数加上一个偏置参数作为激活函数的输入,激活函数的输出即是下一层节点的值。池化核大小选择 2*2,得到6个 14*14 大小特征图
C3层(卷积层) :用 5*5的卷积核对S2层输出的特征图进行卷积后,得到6张10*10 新 图片,然后将这6张图片相加在一起,然后加一个偏置项b,然后用 激活函数进行映射,就可以得到1张 10*10 的特征图。我们希望得到 16 张 10*10 的 特 征 图 , 因 此 我 们 就 需 要 参 数 个 数 为 16*(6*(5*5))=16*6*(5*5) 个参数
S4层(下采样层) :对C3的16张 10*10 特征图进行最大池化,池化核大小为2*2,得到16张大小为 5*5 的特征图。神经元个数已经减少为:16*5*5=400
C5层(卷积层) :用 5*5 的卷积核进行卷积,然后我们希望得到120个特征图,特征图 大小为5-5+1=1。神经元个数为120(这里实际上是全连接,但是原文还是称之为了卷积层)
F6层(全连接层) :有84个节点,该层的训练参数和连接数都(120+1)* 84=10164
Output层 :共有10个节点,分别代表数字0到9,如果节点 i 的输出值为0,则网络识别的结果是数字 i 。采用的是径向基函数(RBF)的网络连接方式:
y_i = \sum_j(x-j - w_{ij})^2
总结 :卷积核大小、卷积核个数(特征图需要多少个)、池化核大小(采样率多少)这些参数都是变化的,这就是所谓的CNN调参,需要学会根据需要进行不同的选择。
2. AlexNet
AlexNet由Hinton的学生Alex Krizhevsky于2012年提出,获得ImageNet LSVRC-2012(物体识别挑战赛)的冠军,1000个类别120万幅高清图像(Error: 26.2%(2011) →15.3%(2012)),通过AlexNet确定了CNN在计算机视觉领域的王者地位。
参考:A. Krizhevsky, I. Sutskever, and G. Hinton. Imagenet classification with deep convolutional neural networks. In NIPS, 2012.
- 首次成功应用ReLU作为CNN的激活函数
- 使用Dropout丢弃部分神元,避免了过拟合
- 使用重叠MaxPooling(让池化层的步长小于池化核的大小), 一定程度上提升了特征的丰富性
- 使用CUDA加速训练过程
- 进行数据增强,原始图像大小为256×256的原始图像中重 复截取224×224大小的区域,大幅增加了数据量,大大减 轻了过拟合,提升了模型的泛化能力
网络结构

AlexNet可分为8层(池化层未单独算作一层),包括5个卷 积层以及3个全连接层
输入层 :AlexNet首先使用大小为224×224×3图像作为输入(后改为227×227×3) (227-11+2*0)/4+1=55
第一层(卷积层) :包含96个大小为11×11的卷积核,卷积步长为4,因此第一层输出大小为55×55×96;然后构建一个核大小为3×3、步长为2的最大池化层进行数据降采样,进而输出大小为27×27×96
第二层(卷积层) :包含256个大小为5×5卷积核,卷积步长为1,同时利用padding保证 输出尺寸不变,因此该层输出大小为27×27×256;然后再次通过 核大小为3×3、步长为2的最大池化层进行数据降采样,进而输出大小为13×13×256
第三层与第四层(卷积层) :均为卷积核大小为3×3、步长为1的same卷积,共包含384个卷积核,因此两层的输出大小为13×13×384
第五层(卷积层) :同样为卷积核大小为3×3、步长为1的same卷积,但包含256个卷积 核,进而输出大小为13×13×256;在数据进入全连接层之前再次 通过一个核大小为3×3、步长为2的最大池化层进行数据降采样, 数据大小降为6×6×256,并将数据扁平化处理展开为9216个单元
第六层、第七层和第八层(全连接层) :全连接加上Softmax分类器输出1000类的分类结果,有将近6千万个参数
3. VGGNet
VGGNet由牛津大学和DeepMind公司提出
- Visual Geometry Group:https://www.robots.ox.ac.uk/~vgg/
- DeepMind:https://deepmind.com/
参考:K. Simonyan and A. Zisserman. Very deep convolutional networks for large-scale image recognition. In ICLR, 2015.
- 比较常用的是VGG-16,结构规整,具有很强的拓展性
- 相较于AlexNet,VGG-16网络模型中的卷积层均使用 3*3 的 卷积核,且均为步长为1的same卷积,池化层均使用 2*2 的 池化核,步长为2
网络结构

- 两个卷积核大小为 3*3 的卷积层串联后的感受野尺寸为 5*5, 相当于单个卷积核大小为 5*5 的卷积层
- 两者参数数量比值为(2*3*3)/(5*5)=72\% ,前者参数量更少
- 此外,两个的卷积层串联可使用两次ReLU激活函数,而一个卷积层只使用一次
4. Inception Net
Inception Net 是Google公司2014年提出,获得ImageNet LSVRC-2014冠军。文章提出获得高质量模型最保险的做法就是增加模型的深度(层数)或者是其宽度(层核或者神经元数),采用了22层网络。
Inception四个版本 所对应的论文及ILSVRC中的Top-5错误率:
[v1] Going Deeper with Convolutions: 6.67%
[v2] Batch Normalization: Accelerating Deep Network Training by
Reducing Internal Covariate Shift: 4.8%
[v3]RethinkingtheInceptionArchitectureforComputerVision:3.5%
[v4] Inception-v4, Inception-ResNet and the Impact of Residual Connections on Learning: 3.08%
Inception Module
- 深度:层数更深,采用了22层,在不同深度处增加了两个 loss来避免上述提到的梯度消失问题
- 宽度:Inception Module包含4个分支,在卷积核3x3、5x5 之前、max pooling之后分别加上了1x1的卷积核,起到了降低特征图厚度的作用
- 1×1的卷积的作用:可以跨通道组织信息,来提高网络的表达能力;可以对输出通道进行升维和降维。

- 1×1的卷积的作用:可以跨通道组织信息,来提高网络的表达能力;可以对输出通道进行升维和降维。
5. ResNet
ResNet(Residual Neural Network),又叫做残差神经网 络,是由微软研究院的何凯明等人2015年提出,获得ImageNet ILSVRC 2015比赛冠军,获得CVPR2016最佳论文奖。
随着卷积网络层数的增加,误差的逆传播过程中存在的梯 度消失和梯度爆炸问题同样也会导致模型的训练难以进行,甚至会出现随着网络深度的加深,模型在训练集上的训练误差会出现先降低再升高的现象。残差网络的引入则有助于解决梯度消失和梯度爆炸问题。
残差块
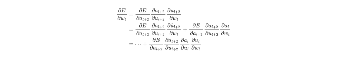
ResNet的核心是叫做残差块(Residual block)的小单元, 残差块可以视作在标准神经网络基础上加入了跳跃连接(Skip connection)
- 原连接
a_{l+1} = \sigma(W_{l+1}a_l+b_{l+1}) \\ a_{l+2} = \sigma(W_{l+2}a_{l+1}+b_{l+2})

- 跳跃连接
a_{l+1} = \sigma(W_{l+1}a_l+b_{l+1}) \\ a_{l+2} = \sigma(W_{l+2}a_{l+1}+b_{l+2}+a_l)

Skip connection的作用
记 u_{l+1} = W_{l+1}a_l+b_{l+1},u_{l+2} = W_{l+2}a_{l+1}+b_{l+2}+a_l = \hat{u}_{l+2} + a_l
我们有:

6. Densenet
DenseNet中,两个层之间都有直接的连接,因此该网络的直接连接个数为L(L+1)/2。
对于每一层,使用前面所有层的特征映射作为输入,并且使用其自身的特征映射作为所有后续层的输入

参考:Huang, G., Liu, Z., Van Der Maaten, L., & Weinberger, K. Q. (2017). Densely connected convolutional networks. In Proceedings of the IEEE conference on computer vision and pattern recognition (pp. 4700- 4708).
5层的稠密块示意图

DenseNets可以自然地扩展到数百个层,而没有表现出优化困难。在实验中,DenseNets随着参数数量的增加,在精度上产生一致的提高,而没有任何性能下降或过拟合的迹象。
优点 :
- 缓解了消失梯度问题
- 加强了特征传播,鼓励特征重用
- 一定程度上减少了参数的数量
