MATLAB信号与系统分析(一)——连续时间信号与系统的时域分析
一、连续时间信号的表示:
1、向量表示法:
在MATLAB中,是用连续信号在等时间间隔点的样值来近似表示连续信号,当取样时间间隔足够小时,这些离散的样值就能较好地近似出连续信号。
对于连续时间信号f(t),一般是用两个行向量f和t来表示。t=t1:p:t2 ,t1 表示的是信号的起始时间,t2为终止时间,p为时间的间隔。而f为连续时间f(t)在向量t所定义的时间范围内对应的样值。
2、符号运算表示法:
使用sym定义变量,然后进行表示。
Eg:分别采用上述两种方法画出抽样信号:

clear all;
t101.510取点数比较少,图形会比较失真
ft;
subplot(221),plot(t,f)
t100.110取点数比较多,图形会比较接近
ft;
subplot(222),plot(t,f)
f'sin(t)/t'采用符号方法
subplot(2231010])
t31003pi;
ft直接用malab中的函数
subplot(224
二、一些常用信号的表示:
1、单位阶跃信号:
(1)利用符号函数maple中的内核函数Heaviside
(2)利用自编函数Heaviside(t)
Heaviside(t)
f0
(3)利用符号函数来生成单位阶跃函数

110;
f20.5;
plot(t,f);
axis([551.21.2

clear all
32u(t)
subplot(221);
syms t
f32heaviside(t);
ezplot(f,[33pi])
axis([551.21.2]);
title('u(t+3)-2u(t)');
32u(t)
subplot(222);
t50.015;
f32Heaviside(t);
plot(t,f);
axis([551.21.2]);
title('u(t+3)-2u(t)')
利用符号函数来实现单位阶跃信号
subplot(223);
t50.055;
fsign(t);
ff1212f;
plot(t,ff);
axis([550.11.1]);
title('u(t)')
32u(t)
subplot(224);
t50.015;
f1212321212sign(t));
plot(t,f),axis([551.21.2'u(t+3)-2u(t)'
PS:由于自己生成的阶跃函数定义u(0)=0,而自带的定义为u(0)=1,所以会出现这种图形没有连接起来的问题。

2、MATLAB信号处理工具箱提供的连续信号:
(1)使用MATLAB自带函数生成:
t)
subplot(241);
A1;
a0.4;
t00.0110;
ftt);
plot(t,ft);
title('指数信号'要放在plot后面
grid on
phi)
subplot(242);
A1;
w02pi;
phi6;
t00.0018;
ftphi);
plot(t,ft);
title('正弦信号');
grid on;
t
subplot(243);
t31003pi;
ftpi);
plot(t,ft);
title('抽样函数信号');
grid on;
0点左右对称的矩形波信号
subplot(244);
t00.0014;
T1;
ft22T);
plot(t,ft);
axis([150.51.5要放在plot后面
title('矩形脉冲信号');
grid on;
1)的周期性方波信号,duty表示占空比
subplot(234);
t0.06250.0010.0625;
ft23075);
plot(t,ft);
axis([0.06250.06251.51.5]);
title('频率为30赫兹的周期性方波信号');
grid on;
tripuls(t,width,skew)用以产生一个最大幅度为1,宽度为width,斜度为skew的三角波信号。
2的范围。
1和1之间的值,它表示最大幅度1出现所对应的横坐标位置。
2)×skew的横坐标位置
subplot(235);
t30.0013;
ft40.5);
plot(t,ft);
axis([330.51.5]);
title('三角波脉冲信号');
grid on;
1的周期性三角波信号(又称锯齿波信号)。
width表示最大幅度出现的位置
subplot(236);
t5105pi;
ft0.5);
plot(t,ft);
axis([16161.51.5]);
title('周期性三角波信号');
grid on;

(2)信号工具函数
%一般周期性脉冲信号y=pulstran(t,d,'func',p1,p2,...)
%t制定pulstran的横坐标范围,向量d用于指定周期性的偏移量(即各个周期的中心点)
%整个pulstran函数的返回值实际上就相当于y=func(t-d(1))+func(t-d(2))+......
%p1,p2...是需要传送给func函数的额外输入参数值(除去时间变量t外),例如rectpuls需要width这个额外参数等
'func',p1,p2,...)
t制定pulstran的横坐标范围,向量d用于指定周期性的偏移量(即各个周期的中心点)
12......
p1,p2...是需要传送给func函数的额外输入参数值(除去时间变量t外),例如rectpuls需要width这个额外参数等
clear all;
subplot(121);
t0.50.0011.5;
d00.51;
y'rectpuls'0.1周期性矩形信号
plot(t,y);
axis([0.11.10.11.1]);
title('周期性矩形信号')
grid on
周期三角波信号
subplot(122);
t0.20.0011.2;
d0121;
y'tripuls'0.11);
plot(t,y);
axis([0.11.10.11.1]);
title('周期性三角波信号');
grid on;

3、复指数信号

实现方法一:
fuction fexp(d,w,t1,t2,a)
绘制复指数信号时域波形程序
d:复指数信号复频率实部
w:复指数信号复频率虚部
t1:绘制波形的起始时间
t2:绘制波形的终止时间
a:复指数信号的幅度
clear all
figure(1);
fexp(040152);
实现方法二:
t00.0115;
a04;
z2t);
figure(2)
subplot(221'实部')
subplot(223'虚部')
subplot(222'模')
subplot(224'相角'

三、连续信号的时域运算、时域变换
1、利用符号运算实现连续信号的时域变换
(1)相加:
f2
ezplot(s)
(2)相乘:
f2
ezplot(s)
(3)移位:
t0)
yt0)
ezplot(y)
(4)反折:
t)
ezplot(y)
(5)尺度变换:
t)
ezplot(y)
(6)倒相
f
ezplot(y)

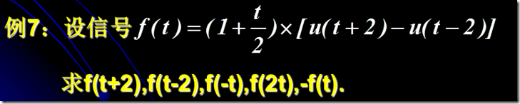
clear all
syms t
'(t/2+1)*(heaviside(t+2)-heaviside(t-2))')
f2122));
subplot(23133'f(t)')
y12)
subplot(23251'f(t+2)')
y22)
subplot(23315'f(t-2)')
y3t)
subplot(23433'f(-t)')
y42t)
subplot(23522'f(2*t)')
y5f
subplot(23633'-f(t)'

四、连续系统的冲激响应、阶跃响应

1、冲激响应:
limpulse(b,a)
impulse(b,a,t)
impulse(b,a,t1:p:t2)
y
2、阶跃响应
step(b,a)
step(b,a,t)
step(b,a,t1:p:t2)
y
其中:


clear all;
a156];
b302];
冲击响应
figure(1)
subplot(221),impulse(b,a)
subplot(2225绘制0~5范围内冲激响应的时域波形
subplot(22310.12绘制1~2范围内,步长为0.1的冲激响应的时域波形
y110.13给出数值解
subplot(22410.13,y1)
阶跃响应
figure(2)
subplot(221),step(b,a)
subplot(2225)
subplot(22310.12)
y210.13);
subplot(22410.13
五、求LTI连续系统的响应
1、零输入响应:
0
2、零状态响应:
Lsim(sys,X,t)
Lsim(b,a,X,t)
Lsim(A,B,C,D,X,t)
3、全响应:
0
其中:
微分方程系统函数对象的生成函数:sys=tf(b,a)
微分方程的状态方程系数生成函数: [A,B,C,D]=tf2ss(b,a)

4、例子:

clear all;
a132];
b13];
t00.0110;
x3t);
rc21];
systf(b,a)
[A,B,C,D]tf2ss(b,a)
figure(1)
subplot(311零输入响应
subplot(312零状态响应
subplot(313
结果:
s 3
s232
Continuoustime transfer function.
A 3210
B 10
C 13
D 0

六、两个信号的卷积:


1、自编卷积函数:
gggfconv(f1,f2,t1,t2)
d');计算序列f1和f2的卷积和
fd;
ts11计算序列f非零值的起始位置
l2计算序列f非零值的宽带
t计算序列f非零值的时间向量
subplot(221);plot(t1,f1)
subplot(222);plot(t2,f2)
subplot(223
2、例子:

clear all;
计算连续时间信号卷积积分并绘波形
t110.013;
f12定义信号
t2t1;
f20.52定义信号
[t,f]



