统计学习方法笔记9—EM算法2
发布时间
阅读量:
阅读量
9.2 EM算法的收敛性
收敛定理9.1

观测数据的似然函数单调递增
收敛定理9.2

EM算法的本质在于它同时包含了两个层面的收敛性:一方面是对数似然函数序列自身的收敛性;另一方面则是参数估计序列的收敛性;即通过迭代过程必然能够达到其极值点。
9.3 EM算法在高斯混合模型学习中的应用
9.3.1 高斯混合模型(概率分步模型)

9.3.2高斯混合模型参数估计的EM算法
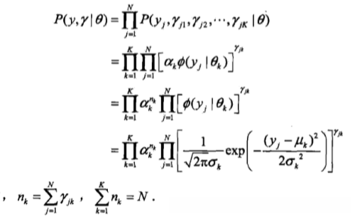
1.明确隐变量,写出对数似然函数:
隐变量:反应观测数据的高斯分布分模型

完全数据:观测数据和隐变量数据

完全数据的似然函数:

对数似然函数:

2.EM算法的E步:确定Q函数
求对数似然函数的均值:

计算过程略,结果:

3.确定EM算法的M步
利用迭代求取Q函数的极大值


全部评论 (0)
还没有任何评论哟~
