优化案例(part3)--Aberrance suppresse dspatio-temporal correlation filters for visual object tracking
 发布时间 
 阅读量: 
 阅读量 
学习笔记,仅供参考,有错必纠
文章目录
- 目标函数的核心
- 优化策略
 - 
- 解决子问题w^*_{t+1}的过程
 
 - 对多个子问题\hat{h}^*_{t+1}进行求解时
 - 拉格朗日乘数的调整过程
 - 观外模型更新策略
 
 
目标函数
目标函数为:

通过提高计算效率,将其转换到频域. 总体目标也可以表述为:

优化方案
因为ADMM计算效率高,在本方法中选择使用了该算法。 以消除凸性带来的挑战为目标,在处理过程中将等式(7)重新表述为增广拉格朗日乘子法的形式,并成功得到了全局最优解。 与此同时,则通过应用该算法实现了对等式(7)的求解,并最终达到了优化目标。

ALM方法可以通过求解两个子问题w^*_{t+1}和\hat{h}^*_{t+1}来求解,如下:

以上两个子问题有封闭解.
对子问题w^*_{t+1}的求解
子问题w^*_{t+1}的解很容易得到:

对子问题\hat{h}^*_{t+1}的求解(注意这里分为N个子问题求解)

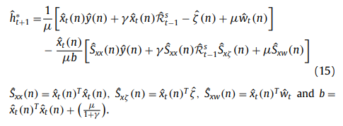
为避免X的逆运算,采用Sherman-Morrison公式加速计算.
Sherman-Morrison公式的具体形式:

在这种情况下, A = \frac{\mu}{1+ \gamma} I_D,u=v=\hat{x}_k(n). 将式(14)改写为:

拉格朗日参数的更新
将拉格朗日参数按下式更新:

其中,
\hat{h}^{*(k)}_{t}代表对应于第k个子问题的目标函数估计值,
而
\hat{w}_{t}^{*(k)}代表对应于第k个子问题的权重向量估计值.
特别地,
\hat{w}_{t}^{*(k)} = (I_D \otimes FB^T)\big[\omega_{t-2}\big],
即权重向量通过矩阵I_D \otimes FB^T
作用于
{\omega}_{t-2}得到.
Update of appearance model

全部评论 (0)
 还没有任何评论哟~ 
