DeepDecision: A Mobile Deep Learning Framework for Edge Video Analytics
发布时间
阅读量:
阅读量
1 简介
在移动终端设备上运行视频分析应用时,如果将应用放在终端设备上执行,可能产生巨大的能耗,并且终端的计算力可能不足以支持计算密集型的深度学习应用;若将应用卸载至云端,将产生通信时延和流量费用。如何选择合适的模型,分辨率,视频比特率,帧率,应用执行位置,是移动终端在执行视频分析应用时需要考虑的问题。在本文中,作者将该问题形式化,并给出了解决该问题的算法。
2 评价指标
FPS,端到端时延,准确度,带宽消耗,电池消耗。这些指标之间会相互影响,如端到端时延会影响准确度。
3 决策变量
- 帧的分辨率:分辨率的高低直接影响计算时延,电池用量和准确度。
- 模型的选择:选择使用复杂度不同的模型,影响计算时延,电池用量和准确度。
- 计算卸载位置:将计算放在服务器上可降低终端设别的电量消耗,允许更高的帧率和分辨率,但网络时延会使终端设备得到的计算结果过时从而降低准确率。
- 帧率:仅挑选一部分帧而不是所有帧进行处理。帧率直接影响计算量。如果计算被卸载到服务器上还会影响带宽使用。
- 视频压缩:视频的压制方式,当帧率和分辨率都相同时,压制方式不同也会影响视频的大小,当计算被卸载到服务器时可降低带宽使用,降低网络时延。网络时延又直接影响了准确率。
4 方法
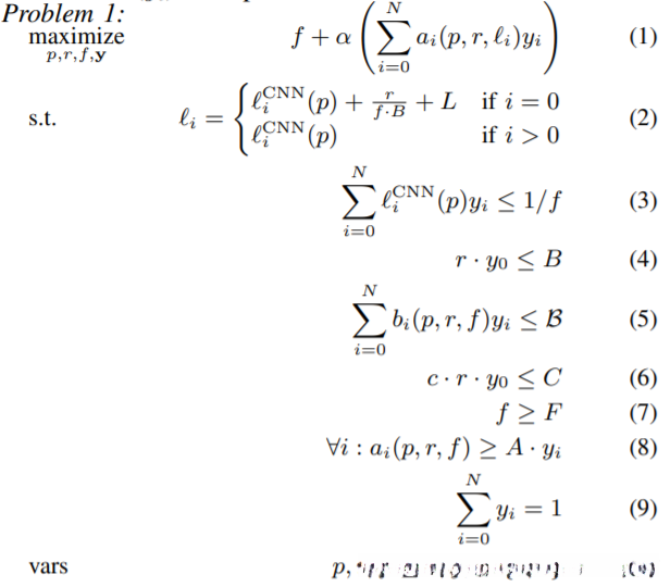
问题形式化:


- 优化目标为帧率和准确度之和,y 为0-1向量,表示模型的选择。
- (2)计算时延=计算时延+传输时延,其中i=0的模型在服务器中执行,i>0时在终端设备上执行。
- (3)表示选择的模型的计算一帧的时延小于帧的间隔。
- (4)表示当选择在服务器上执行时,码率不能超过带宽限制。
- (5)表示耗电量不能超过预设上限。
- (6)当选择在服务器执行时,表示流量资费不能超过上限。
- (7)(8)允许用户预设帧率和准确度的下限。
- (9)表示只能选择一个模型。
作者将决策空间离散化(事先为帧率,分辨率,比特率等设置几个固定的取值),运用近似暴力的算法求解。求解时将i=0与i>0分开求解,求argmax时全部使用遍历的方式。其中bi,li,ai分别是能耗,时延,准确度的函数,这些函数没有数学解析式,需要线下实验记录数据,以表格的形式给出。

5 实验
实验分两部分:首先是测量各个指标之间的关系,包括分辨率与准确率的关系、分辨率与能耗的关系,比特率与准确率之间的关系等。然后是与各baseline方法进行比较,比较指标采用准确率。
全部评论 (0)
还没有任何评论哟~
