Games101计算机图形学笔记L4 Transformation Cont
发布时间
阅读量:
阅读量
L4 Transformation Cont
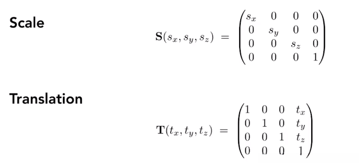
3D transfromations




注:n默认是过原点的
Viewing(观测) transformation
View(视图)/Camera transformation

简称mvp变换(model view projection)

定义一个相机

默认相机方向


原变换不好求可以先求逆变换,转置就变成原变换了

Projection(投影) transformation(difficult)

正交与透视的区别

-Orthographic(正交) projection





基于朝向-z的方向,在这种情况下,“near”值大于“far”值。
这反映了OpenGL采用了左手坐标系的特点。
-Perspective(透视) projection



规定:近平面不变,远平面的z也不变,远平面中心不变





由近平面不变推出

远平面中心不变推出

提问:中间的点z会变大还是变小?
全部评论 (0)
还没有任何评论哟~
