【MATLAB】信号与系统 — 三角形脉冲信号的频谱
发布时间
阅读量:
阅读量
目录
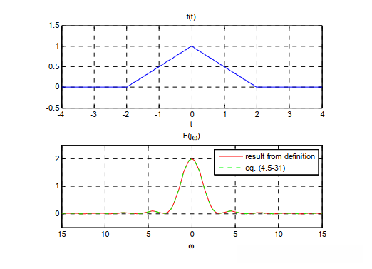
1、三角形脉冲信号的频谱波形
2、MATLAB代码实现
1、三角形脉冲信号的频谱波形

2、MATLAB代码实现
clear all;
clc;
% f(t)
tau = 4;
t_vector = -4:0.01:4;
N = length(t_vector);
f_t = zeros(1,N);
for n = 1:N
t = t_vector(n);
if (t>=-tau/2)&&(t<=tau/2)
f_t(1,n) = 1 - (2/tau)*abs(t);
end
end
figure; subplot(2,1,1);
plot(t_vector,f_t,'b-');
xlabel('t'); title('f(t)');
axis([-4,4,-0.5,1.5]);
grid on;
% F(jw)=FT[f(t)]
lower = - 15;
upper = 15;
step = (upper-lower)/100;
w_vector = lower:step:upper;
K = length(w_vector);
X = zeros(1,K);
for k = 1:K
w = w_vector(k);
% result from definition.
f_t = @(t) (1-(2/tau)*abs(t)).*exp(-j*w*t);
F_w(k) = quad(f_t,-tau/2,tau/2);
% eq. (4.5-31)
F_w_2(k) = (tau/2)*sinc(w*tau/(4*pi))^2;
end
subplot(2,1,2);
plot(w_vector,abs(F_w),'r-');
hold on;
plot(w_vector,abs(F_w_2),'g:');
legend('result from definition','eq. (4.5-31)');
xlabel('\omega'); title('F(j\omega)');
axis([lower,upper,-0.5,2.5]);
grid on;
代码解读
全部评论 (0)
还没有任何评论哟~
