关于GCN的论文笔记--End-to-end Structure-Aware Convolutional Networks for Knowledge Base Completion
发布时间
阅读量:
阅读量
用于知识图谱完成的端到端结构感知卷积网络
| 论文题目 | End-to-end Structure-Aware Convolutional Networks for Knowledge Base Completion |
|---|---|
| 论文出自 | arXiv,2018 |
图结构感知卷积网络SACN : 由加权图卷积网络 (WGCN) 的编码器和 Conv-TransE 的卷积网络 的解码器组成。

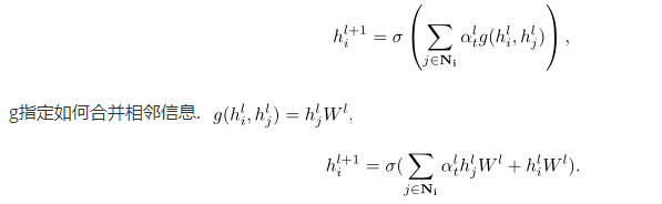
权重卷积层WGCN ?
利用知识图节点结构、节点属性和边关系类型 。
在聚合时对不同类型的关系进行不同的权重 ,并且在网络训练期间自适应地学习权重。 通过这种适配,WGCN 可以控制来自相邻节点的用于聚合的信息量。
在这个例子中,网络的 WGCN 层计算中间图中红色节点的嵌入。 这些层聚合了 KB 关系中指定的相邻实体节点的嵌入。 边的三种颜色(蓝色、黄色和绿色)表示图中的三种不同的关系类型。 对应的三个实体节点在这一层根据不同的权重相加得到红色节点的embedding。 具有相同颜色(相同关系类型)的边使用相同的αt。 每个层都有自己的一组关系权重αlt。 因此,第 l 层的输出写成如下:

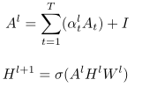
上述过程可以组织为矩阵乘法,通过邻接矩阵同时计算所有节点的嵌入。对于每种关系(边)类型,邻接矩阵是一个二进制矩阵,如果存在边连接vi和vj,则其条目为1,否则为0。基本上,它是子图的邻接矩阵加上自连接的加权和。


Conv-TranseE解码器?

Conv-TransE使用多个卷积核对堆叠的二维向量进行特征提取,如上图所示使用三个2×3的卷积核 对嵌入卷积,接着对获得的三个特征图拼接 送入全连接层将其投影到嵌入的维度

全部评论 (0)
还没有任何评论哟~
