读书笔记-《机器学习》第七章:贝叶斯分类器
发布时间
阅读量:
阅读量
第七章 贝叶斯分类器
-
将由结果推原因 转化为由原因推结果
-
先验概率:是根据以往经验和分析得到的概率
-
后验概率:事情已经发生,要求这件事情发生的原因是由某个因素引起的可能性的大小,即由结果倒推原因
-
贝叶斯判定准则:为最小化总体风险,只需在每个样本上选择那个能使条件风险R(c|x)最小的类别标记
-
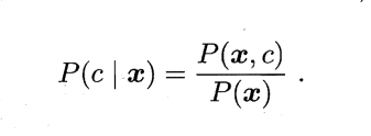
判别式模型:给定x,通过直接建模P(c|x)来预测c;决策树、BP神经网络、支持向量机等
-
生成式模型:先对联合概率分布P(x,c)建模,然后再由此获得P(c|x);朴素贝叶斯
-
对于生成式模型,必然考虑:

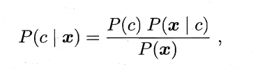
基于贝叶斯定理,可写为

因此估计P(c|x)的问题就转化为如何基于训练集数据集D来估计先验概率P(c) 和类条件概率P(x|c)
- 对于类先验概率P(c) ,根据大数定律,当训练集包含充足的独立同分布样本时,可通过各类样本出现的频率来进行估计
- 对于类条件概率P(x|c) ,由于它涉及关于x所有属性的联合概率(高阶联合概率) ,直接根据样本出现的频率来估计将会遇到严重的困难。例如,假设样本的d个样本都是二值的,则样本空间将有2的d次方种可能的取值。这个值往往远大于训练样本数m。也就是说,很多样本取值在训练集中根本没有出现,直接用来估计P(x|c)显然是不可行的。“未被观测到”与“出现概率为零”通常是不同的
- 类条件概率参数估计方法:极大似然函数
- 估计后验概率的主要困难在于:类条件概率是所有属性上的联合概率,难以从有限的训练样本直接估计而得。为避开这个障碍,朴素贝叶斯分类器 采用了“属性条件独立性假设”:对已知类别,假设所有属性间相互独立。换言之,假设每个属性独立地对分类结果发生影响
- 朴素贝叶斯分类器的训练过程就是基于训练集D来估计类先验概率P(c),并为每个属性估计类条件概率P(xi|c)
- 拉普拉斯修正:为了避免其他属性携带的信息被训练集中未出现的属性值“抹去”,在估计概率值时通常要进行“平滑”
- 拉普拉斯修正避免了因训练集样本不充分而导致概率估值为零 的问题,并且在训练集变大时,修正过程引入了先验的影响也会逐渐变得可忽略,使得估值趋向于实际概率值
- 半朴素贝叶斯分类器
- 贝叶斯网
- EM算法是常用的估计参数隐变量 的利器,它是一种迭代的方法,其基本想法是:若参数θ已知,则可根据训练数据推断出最优隐变量Z的值(E步);反之,若Z的值已知,则可方便的对参数θ做极大释然估计(M步)
- EM算法的实例:Kmeans聚类、高斯混合模型
全部评论 (0)
还没有任何评论哟~
