python模拟退火求解TSP问题
发布时间
阅读量:
阅读量
python模拟退火求解TSP问题
-
问题描述
-
思路
-
- 模拟退火简介
- TSP问题
-
代码
-
运行结果
问题描述
通过模拟退火算法解决30个城市组成的旅行商问题。通过直角坐标系中的两点距离公式计算两城市之间的距离,并使用以下具体的城市位置数据进行求解:
{41,94}; {37,84}; {54,67}; {25,62}; {7,64}; {2,99}; {68,58}; {71,44}; {54,62}; {83,69}
{64,60}; {18,54}; {22,60}; {83,46}; {91,38}; {25,38}; {24,42}; {58,69}; {71,71}; {74,78}
{87,76}; {18,40}; {13,40}; {82,7}; {62,32}; {58,35}; [此处应包含完整的坐标数据]
思路
模拟退火简介
- (1)选取任意一个单元k,并赋予其一个随机的移动量q_k^*。
- (2)计算由此产生的能量变化量ΔE_k = E(q_k^) - E(q_k),其中E表示系统的总能量。
若ΔE_k ≤ 0,则此移动方案可行,并将调整后的新状态s' = q_k^ + q_k作为下一步调整的基础状态;
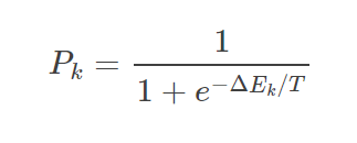
若ΔE_k > 0,则新状态s' = q_k^* + q_k被接受的概率为
- (2)计算由此产生的能量变化量ΔE_k = E(q_k^) - E(q_k),其中E表示系统的总能量。

在式中,T代表温度.接着从服从均匀分布U(0,1)的概率空间中随机选取一个值RR.如果生成的概率值R小于Pk,则采用变换后的状态作为下一次迭代的基础;否则,则采用变换前的状态.
- (3)转第(1)步继续执行,知道达到平衡状态为止。
TSP问题
模拟退火算法的核心机制在于,在特定的概率P下采用较差的状态作为转移状态的依据。这种情况下,“较好”的状态会影响转移的概率值。“较差”的状态对应较高的转移概率,“较好”的状态则对应较低的转移概率。
- 初始化,模拟退火中用温度来观察程序进程,这里模拟温度,设置
t0=100,从100°开始降温,程序停止条件t0==1,温度下降的速率为alpha=0.9,在每个温度状态下,程序要尝试随机生成路径TIME次,TIME=1000 - 创建城市坐标矩阵
points,point[i][0]表示第i个城市的x坐标,point[i][1]表示第i个城市的y坐标 - 先随机生成一条路径
way,通过函数calWayDis(way)计算路径总长度waydis - 再随机选择2个城市
city1和city2,交换way中这两个城市的位置,形成新的路径tempway
tempway[city1],tempway[city2]=tempway[city2],tempway[city1]
- 该函数调用
tempway以计算其路径长度,并将其存储为tempdis。 - 比较:
- 如果:
新的路径较短,则取代当前路径。
并将其与当前最短的路径进行比较;
如果其较短,则判断是否小于现有最短路径。
if tempdis<waydis:
way = tempway.copy()
waydis = tempdis
if tempdis<bestdis:
bestway = tempway.copy()
bestdis = tempdis
draw(bestway,bestdis)
2. 如果:
新的路径长度不小于 现有路径长度,则根据模拟退火的概率,去接受
if tempdis>waydis:
if np.random.rand()<np.exp(-(tempdis-waydis)/(t0)):
way = tempway.copy()
waydis = tempdis
步骤4至6在初始状态t_0执行;经过TIME次循环,在每一次循环中将当前路径与临时路径进行比较;随后更新温度参数t_0 = t_0 \times \alpha;随后继续重复步骤4至6;当t_0降至终止温度时,则停止操作并输出目前最优的路径。
while t0>t[0]:
步骤4
步骤5
步骤6
t0 *= alpha
- 打印出得到的最优解,路径和路径长度
代码
import numpy as np
import matplotlib.pyplot as plt
import pdb
import imageio
import shutil
import os
# 生成距离矩阵
def getDismat(points):
dismat = np.zeros((N,N))
for i in range(N):
for j in range(i,N):
dismat[i][j] = dismat[j][i] = np.linalg.norm(points[i]-points[j])
return dismat
def init():
alpha = 0.9
t = (1,100)
TIME = 1000
way = np.arange(N)
waydis = calWayDis(way)
return alpha,t,TIME,way,waydis
# 计算路径长度
def calWayDis(way0):
waydis = 0
for i in range(N-1):
waydis +=dismat[way0[i]][way0[i+1]]
waydis += dismat[way0[N-1]][way0[0]]
return waydis
def draw(way,dist):
global N,points ,TIMESIT, PNGFILE, PNGLIST
plt.cla()
plt.title('cross=%.4f' % dist)
xs = [points[i][0] for i in range(N)]
ys = [points[i][1] for i in range(N)]
plt.scatter(xs, ys, color='b')
xs = np.array(xs)
ys = np.array(ys)
# plt.plot(xs[[0, solutionpath[0]]], ys[[0, solutionpath[0]]], color='r')
# 连接路径
for i in range(N-1):
plt.plot(xs[[way[i], way[i + 1]]], ys[[way[i], way[i + 1]]], color='r')
# 将终点与起点连接
plt.plot(xs[[way[N - 1], 0]], ys[[way[N - 1], 0]], color='r')
plt.scatter(xs[0], ys[0], color='k', linewidth=10)
for i, p in enumerate(points):
plt.text(*p, '%d' % i)
plt.savefig('%s/%d.png' % (PNGFILE, TIMESIT))
PNGLIST.append('%s/%d.png' % (PNGFILE, TIMESIT))
TIMESIT += 1
points = np.array([[41,94],[37,84],[54,67],[25,62],[7,64],[2,99],[68,58],[71,44],[54,62],[83,69],
[64,60],[18,54],[22,60],[83,46],[91,38],[25,38],[24,42],[58,69],[71,71],[74,78],
[87,76],[18,40],[13,40],[82,7],[62,32],[58,35],[45,21],[41,26],[44,35],[4,50]
])
N = points.shape[0]
dismat = getDismat(points)
alpha,t,TIME,way,waydis=init()
t0 = t[1]
K=0.8
# 画图初试化
TIMESIT = 0
PNGFILE = './png/'
PNGLIST = []
if not os.path.exists(PNGFILE):
os.mkdir(PNGFILE)
else:
shutil.rmtree(PNGFILE)
os.mkdir(PNGFILE)
# 记录每次迭代的结果
result = []
tempway = way.copy()
bestway = way.copy()
bestdis = 10000
while t0>t[0]:
for i in range(TIME):
if np.random.rand() > 0.5:
# 两点交换
while True:
# 随机生成不同2个点,
city1 = np.int(np.ceil(np.random.rand()*(N-1)))
city2 = np.int(np.ceil(np.random.rand()*(N-1)))
if city1!=city2:
break
# 交换
tempway[city1],tempway[city2]=tempway[city2],tempway[city1]
else:
# 3个点
while True:
city1 = np.int(np.ceil(np.random.rand()*(N-1)))
city2 = np.int(np.ceil(np.random.rand()*(N-1)))
city3 = np.int(np.ceil(np.random.rand()*(N-1)))
if((city1 != city2)&(city2 != city3)&(city1 != city3)):
break
# 下面的三个判断语句使得city1<city2<city3
if city1 > city2:
city1,city2 = city2,city1
if city2 > city3:
city2,city3 = city3,city2
if city1 > city2:
city1,city2 = city2,city1
#下面的三行代码将[city1,city2)区间的数据插入到city3之后
temp = tempway[city1:city2].copy()
tempway[city1:city3-city2+1+city1] = tempway[city2:city3+1].copy()
tempway[city3-city2+1+city1:city3+1] = temp.copy()
tempdis = calWayDis(tempway)
if tempdis<waydis:
way = tempway.copy()
waydis = tempdis
if tempdis<bestdis:
bestway = tempway.copy()
bestdis = tempdis
draw(bestway,bestdis)
else:
if np.random.rand()<np.exp(-(tempdis-waydis)/(t0)):
way = tempway.copy()
waydis = tempdis
# 更新路径
else: tempway = way.copy()
t0 *= alpha
result.append(bestdis)
print("最短路径:%s"%np.array(result[-1]))
for i in bestway:
print(i,end="-->")
print(bestway[0])
#生成路径gif
generated_images = []
for png_path in PNGLIST:
generated_images.append(imageio.imread(png_path))
# shutil.rmtree(PNGFILE) # 可删掉
generated_images = generated_images + [generated_images[-1]]
imageio.mimsave('Sovle_TSP01.gif', generated_images, 'GIF', duration=0.1)
运行结果


全部评论 (0)
还没有任何评论哟~
