图卷积网络(Graph Convolutional Network, GCN)
发布时间
阅读量:
阅读量
图卷积网络(Graph Convolutional Network, GCN)是一种专门用于处理图结构数据的深度学习模型。GCN编码器的核心理念在于通过整合相邻节点信息来进行节点表示的更新。
图的表示
一个图 G通常表示为 G=(V,E),其中:
- V 是节点集合,包含 N个节点。
- E是边集合,包含图中所有的边。
节点特征矩阵
假设每个节点 i有一个特征向量

(维度为 F),所有节点的特征可以表示为矩阵

。
邻接矩阵
图的邻接矩阵

表示图中节点之间的连接关系,其中

表示节点 i和节点 j之间有边,反之为 0。
度矩阵
度矩阵

是一个对角矩阵,其中

表示节点 i的度,即节点 i的邻居数量:

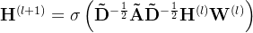
图卷积层
GCN编码器由多个图卷积层组成,每一层的运算可以描述为:

其中:

,即在邻接矩阵A中加上自环(self-loop),其中 I是单位矩阵。
*

是对应的度矩阵,计算方式与度矩阵 D类似,只不过这里考虑了自环。
*

是第 l层的节点表示矩阵,初始表示

。
*

是第 l层的权重矩阵。
- σ 是非线性激活函数(例如ReLU)。
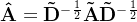
归一化的邻接矩阵

因此,图卷积层的更新规则可以简化为:

GCN主要由多层图卷积层构成,在存在L个层次的情况下,则在完成L个图卷积过程后所得的节点表示形式为...

。
聚合和更新
在每一层中,图卷积操作的核心在于对每个节点的所有邻居节点信息进行聚合处理,并经过线性变换与非线性激活函数的操作来更新节点特征。
- 聚合邻居信息 :使用归一化的邻接矩阵

对节点表示进行线性转换,并生成邻接节点的综合特征
通过权重矩阵实现的线性转换是一种重要的特征提取方式

- 通过线性变换对聚合后的邻居信息进行处理。
-
- Non-linear Activation:引入了非线性的σ函数,并实现了神经网络中的非线性转换。
最后
GCN编码器的结构可以通过如下递归公式表示:

初始状态下

,经过 L层图卷积后,得到最终的节点表示

每层的图卷积网络则通过以下三个步骤来更新节点表示:首先,综合邻节点的特征信息;其次,在此基础之上进行仿射变换;最后引入非线性激活函数。
全部评论 (0)
还没有任何评论哟~
