【计算机网络】【MATLAB绘图】ALOHA协议的吞吐量(Throughput of ALOHA Protocol)【新加坡南洋理工大学 NTU SG】
发布时间
阅读量:
阅读量
Precursors of CSMA/CD
ALOHA is categorized under Pure ALOHA and Slotted ALOHA schemes.
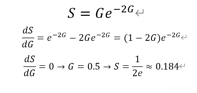
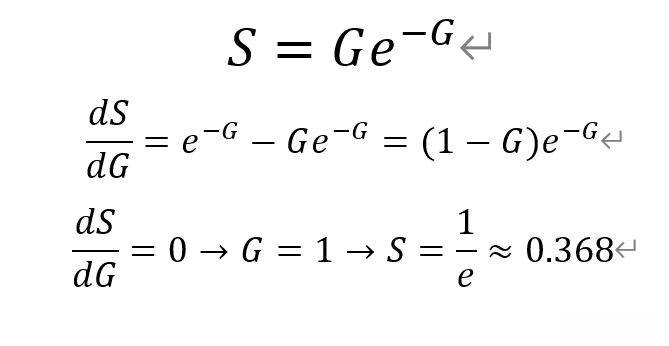
\textbf{F:} \textbf{transmission duration of a frame} is assumed to be constant.
\textbf{S:} \textbf{transmission efficiency} represents the average number of successfully transmitted frames per \textbf{F}.
\textbf{G:} \textbf{offer load} is defined as the average number of total transmission attempts per \textbf{F}, including retransmissions.
Pure ALOHA Throughput

Slotted ALOHA Throughput

MATLAB Simulation of throughputs of Pure and Slotted ALOHA
g = 0 : 0.0001 : 2;
S1 = g .* exp(-2 * g); % Pure ALOHA
S2 = g .* exp(-g); % Slotted ALOHA
figure;
plot(g, S1);
hold on
plot(g, S2);
title("Throughput of Pure and Slotted ALOHA");
xlabel("average total transmissions");
ylabel("throughput");
grid on
Program output:

全部评论 (0)
还没有任何评论哟~
