数字信号处理学习笔记(一)|离散傅里叶变换
发布时间
阅读量:
阅读量
离散傅里叶变换(DFT)
离散傅里叶变换(Discrete Fourier Transform)的实质是有限长序列傅里叶变换的有限点离散采样,实现了频域离散化,使数字信号处理可以在频域采用数值运算的方法进行,增大了数字信号处理的灵活性。
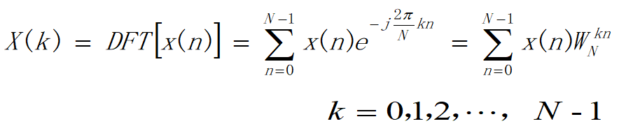
一、DTF的定义
设x(n)是一个长度为M的有限长序列,则定义x(n)的N点离散傅里叶变化为:

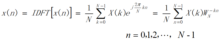
逆变换为:

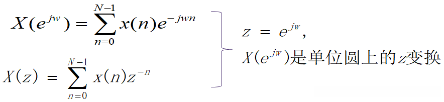
二、DFT与傅里叶变换的关系

上述式子说明了:DFT的X(k)是x(n)傅里叶变换X(e^jw)在区间[0,2π]上的N点等间隔采样。
三、DFT与Z变换的关系


**上述式子说明了:DFT的X(k)是Z变换X(z)在单位圆上的N点等间隔采样
四、DFT的性质
(1)线性

(2)循环位移
设x(n)为有限长序列。长度为M,M≤N,则x(n)的循环位移为

循环过程如下所示:


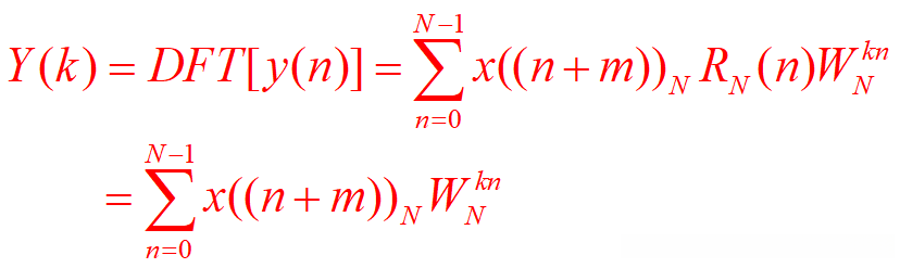
(3)时域循环移位定理
设x(n)是长度为M(M≤N)的有限长序列,y(n)为x(n)的循环移位。即:
则:
证明过程如下:

令n+m=n’,则有


(4)频域循环移位定理
同(3)

(4)复共轭序列的DFT
设x*(n)是x(n)的复共轭序列,长度为N,则
证明如下,根据DFT唯一性

五、用DFT进行谱分析的误差
(1)混叠现象:
对连续信号进行谱分析时,首先要对其采样,由时域连续变时域离散信号,再用DFT(FFt)进行谱分析。采样速率必须满足采样定理,否则会在w=π附近发生频率混叠现象。
对于Fs确定的情况,一般在采样前进行预滤波,滤除高于折叠频率Fs/2的频率成分
(2)栅栏效应:
N点DFT是在频率区间[0,2π]上对时域离散信号的频谱进行N点等间隔采样,二采样点之间的频谱是看不到的。
采用提高频率分辨率,对原序列尾部补零,增大截取长度及DFT变换区间长度等方法解决栅栏效应
(3)截断效应
对无限长序列进行谱分析时,需要将其截断 成有限长序列。
影响有
(1)泄露
(2)谱间干扰
六、用Python语言编写DFT算法
编程思路:
1、利用欧拉公式

得到
2、幅值计算

计算sin(0.4 pi n+pi/3)+10sin(0.2 pi n+pi/4)
代码如下:
from math import *
import numpy as np
import matplotlib.pyplot as plt
def signal(n):
return (sin(0.4 * pi * n + pi / 3) + 10 * sin(0.2 * pi * n + pi / 4))
# 生成WN项
def wn_k(k, n, N):
return complex(cos(2 * pi * n * k / N), sin(-2 * pi * n * k / N))
amplitude = [] # 准备一个空列表
power_spectrum = []
sums = 0
# 256点DFT,X(0)到X(255)
for k in range(0, 256):
for n in range(1, 257):
# n的取值为从1到256
sums = sums + signal(n) * wn_k(k, n, 256)
amplitude.append(sums)
sums = 0
print(amplitude, len(amplitude))
for i in range(0, 256):
power_spectrum.append(amplitude[i] ** 2)
plt.subplot(2, 1, 1)
plt.plot(np.abs(amplitude))
plt.title("amplitude_spectrum")
plt.subplot(2, 1, 2)
plt.plot(np.abs(power_spectrum))
plt.title("power_spectrum")
plt.show()

全部评论 (0)
还没有任何评论哟~
