数字信号处理和人工智能关系_雷达信号处理:数字下变频

各位大侠好!欢迎来到FPGA技术江湖这片热土!江湖虽宽广如长河,请常驻心间!您可以关注FPGA技术江湖,在"闯荡江湖"栏目了解各类FPGA应用经验,在"行侠仗义"栏目获取更多相关资源!或者也可以加入咱们的交流群组,在这里与各位并肩共饮一盏iced tea~
各位大侠好!今天由"82年的程序媛"这位本媛为大家分享 herself 的产品研发经验之——雷达信号处理:数字下变频的技术要点及后续优化思路。期待大家的关注与讨论!
一、 概述
数字上下的变 freq 技术是雷达系统中的关键组成。具体而言,在雷达发送端受限于天线长度的影响因素限制了电磁波的有效传播范围与通信频率之间的关系。基于这一特性,在发送端必须采用数字上变 freq 的方式提升通信频率以满足传输需求;与此同时,在 radar 接收端如果不进行相应的 down-convert 处理,则无法满足奈奎斯特采样定理所要求的数据采集速率标准。这种高数据采集速率的要求不仅对 subsequent 的 AD 转换过程提出挑战,并且也对 subsequent 的 FPGA 级联式信号处理器带来了较大的技术挑战性需求。为此,在 radar 接收机前端必须首先完成射 freq 至中带宽以及最终至零中 freq 的连续变换过程
本次设计同样采用了同样的方法来构建模型,并通过Matlab进行仿真分析以得出正确的设计方案,在此基础之上生成IP核的形式来实现数字下变频的功能。
二、 原理
数字下变频的基本原理如下图所示:

数字下变频主要包括下混频和滤波抽取两部分,下面分别介绍:
1、 下混频:
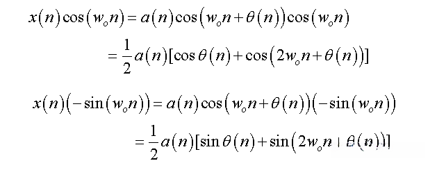
现实中,信号是一个实的窄带信号,可表示为,如下表达式:

经AD采样后,变成数字信号:

通过混频技术,可得到信号的正交变量,数字信号正交混频可表示为:

属于一种广为采用的数字信号处理技术,在1/4信号采样率下出现的频率变化中,则存在一种相对简便的实现途径。具体而言,在这一特定条件下如何进行频域转换的问题可以通过以下步骤实现:
在系统运行过程中,在输入信号经过FPGA的处理后生成四组数据输出,并将其标记为d0、d1、d2和d3;随后对该信号进行下变频处理。
在本研究中所采用的采样率为 fs = 1.2 GHz,在其中所采用的本振频率 fc 则设定为 300 MHz,并且两者之间满足 fc = fs / 4 的关系;以下将介绍一种有效的方法来实现混频过程

所以混频可做如下简化处理:

通过下混频我们分别得到I路和Q路两路实数据,分别表示如下:
将I路和Q路分别用I0,I1,I2,I3,和Q0,Q1,Q2,Q3来表示,I路混频后得到如下序列:
I0 = d0*(1);I1 = d1*(0);I2 = d2*(-1);I3 = d3*(0)
Q路混频后得到如下序列:
Q0 = d0*(0);Q1 = d1*(-1);Q2 = d2*(0);Q3 = d3*(1)
最后我们得到了2路300M的复数据即
I0*(1),Q1*(-1),I2*(-1),Q3*(1)。
2、多相滤波
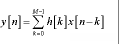
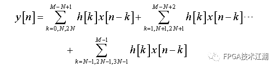
正交混频后的低通滤波过程用于去除多余频率以避免因抽取操作导致的频谱混叠,在本系统中将滤波与抽取操作合并实现。对于因果的FIR系统其差分方程可以简化为:

在信号处理中, M表示系数矩阵的维度. 如果采用多通道并行架构, 并设N代表FIR滤波器并行处理的通道数, 则: y(n) = \sum_{k=0}^{M-1} h(k) \cdot x(n - k)

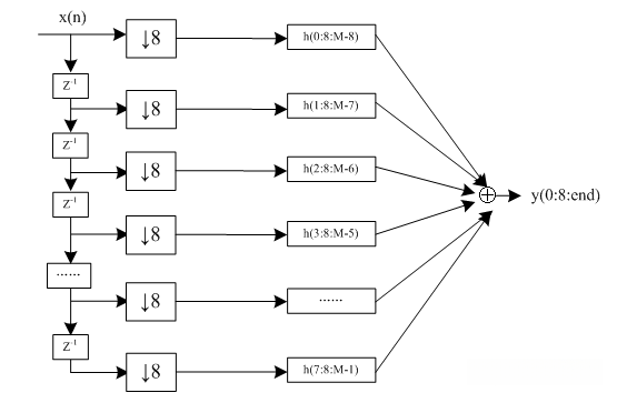
其中滤波基于并行架构实现;单路实现中采用了多相技术;8路并行多相滤波器如图所示的8×MSPF架构。

三、 实现
结构框图如下图所示:

其中din为输入的8路有效数据,输出为8路的dout。
模型搭建的框图如下图

随后对模型系统进行仿真实验,在matlab软件中生成具有500MHz的中心工作频率并带有800MHz的带宽的 chirp 信号作为模拟输入信号使用,并观察其频谱特性如图所示

然后对输入信号执行下变频处理,在系统参数设置中将采样率设定为2GHz的基础上,输入信号经过模型运算后得到一个零中频信号。该零中频信号具有中心工作频率在0MHz并带有800MHz的信道带宽特性。其信号频谱如图所示:

今天本媛便就此打住了,之后仍会与各位大侠不期而遇,欢迎收看"82年的程序媛"栏目,江湖虽 vast,但愿一切安好,有缘再见!后续会持续更新中,带来一系列安装相关的教程,包括Vivado、ISE、Quartus II及candence等多种工具的安装指导,丰富的学习资源、项目资源以及优质文章推荐,期待您的持续关注与反馈


FPGA技术江湖广发江湖帖
零干扰专注模式下,
打造一个无干扰的技术交流空间,
覆盖新手入门至行业顶尖专家。
涵盖广泛的应用领域包括通信、图像处理及人工智能等多个方向。
多平台互动选择,
FPGA技术江湖打造最纯净最专业的技术交流学习平台。
FPGA技术江湖微信交流群

加群主微信,备注职业+方向+名字进群
FPGA技术江湖QQ交流群

备注地区+职业+方向+名字进群

