迁移学习“Importance Weighted Adversarial Nets for Partial Domain Adaptation”
Importance Weighted Adversarial Nets for Partial Domain Adaptation
提出重要性加权对抗网络用于非监督的域适应,主要针对目标域相比源域具有的类别数较少的部分迁移学习。该网络目的是从源域中找到极有可能是outlier类别的样本。
这是与SAN类似的一篇文章,做部分域适应工作。目标域中无标记样本,且类别数目未知,通常假设源域足够大,包含目标域中所有的类别。由于标记空间不同,源域和目标域的边际分布也不同。对于这种情况,一种方法是对源域中有可能出现在目标域中的样本进行重加权,但目标域中的样本是未标记的,无法直接获取哪些类在目标域中存在。论文提出了加权对抗网络用于深度域适应,具有两个域分类器,第一个分类器给出源域样本的概率,如果第一个域分类器的激活大,样本,该样本可以与目标域样本完美区分,那么该样本就很可能来自于源域的outlier,给该样本的权值就小。加权的源域样本和目标域样本输入第二个域分类器,用于优化特征提取器。
相关研究
降低域之间的差异可以挖掘域不变的特征,主要有三个方法,第一种是统计矩匹配法,包括最大化均值差异(MMD)、中心矩差异(CMD)、二阶统计匹配等;第二种是对抗损失,通过对抗学习让不同域的样本不可分辨;第三种方法使用Batch Norm,将源域和目标域的分布对齐。
SAN对于每个类别都训练一个域判别器,当源域类别数目很多时,计算量会比较大。
方法描述
一般的,在分类网络中加入域分类器目的是学习域不变的特征,对抗网络域适应的minimax损失为:

论文中所指源域的标签为1,目标域的标签为0。
其中D是域分类器, Fs
和 Ft
分别是源域、目标域数据的特征。
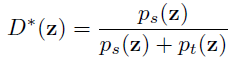
最优的判别器D为:

基于重要性加权的域适应对抗网络
在minimax公式中,域分辨器是一个sigmoid函数:

域判别器的输出值反应了给出了源域中样本分布的似然估计,如果
,则该样本很可能就来自源域中的outlier,这是由于目标域中没有这个样本对应的类别,域分辨器可以对该样本进行轻松的分类,这些样本的贡献应该降低。如果D^* (z)很小,则该样本很可能在源域、目标域中同时出现,这些样本应给予大权重。因此,权重应与D^* (z)成相反关系,可以如下定义:

权重函数同时反映了源域和目标域特征的密度比,如果样本的邻域覆盖了很少的目标域样本,则权值比较小。权重如下归一化:

此时,
.
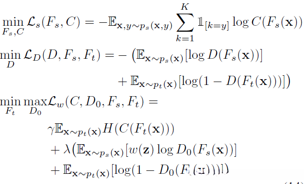
由于权重是域判别器的函数,如果对相同的域判别器应用权重,minimax问题的优化将不能降低Jensen-Shannon差异,因此引入了第二个域分辨器 D0
用于比较加权的源域数据和目标域数据。这种方式下,第一个域分辨器仅用来根据 Fs
和当前的F_t获取源域权重。这样D的梯度将不会更新的F_t,D_0用来解决minimax问题,降低贡献类别的偏差。
加权域对抗网络的目标函数为:

w z
是D的函数,独立于D_0,可以认为是常数,最优的D_0为:

使用目标熵最小化准则鼓励类别间的低密度分离,仅用来约束F_t:

最终目标函数为:

整体结构示意图如下:

实验结果

