Llama 3.1 技术研究报告-4
五、结果
我们对Llama 3进行了全面的研究,并系统考察了以下具体领域:(1) 基础预训练语言模型的表现特征;(2) 微调后的语言模型性能特点;以及 (3) Llama 3系统的安全特性分析。在本节中将详细阐述各章节的具体研究发现。
5.1 预训练语⾔模型
在本节中, 我们报道了我们在第3节中对预训练的Llama 3模型进行评估的结果, 并将其与各种其他类似规模的模型进行了对比. 我们尽可能地模仿了竞争对手模型的表现. 对于非Llama模型, 我们报告了公开可用报告中的最佳分数, 或者(当可能时)我们自己复制的结果. 这些评估的具体情况, 包括配置(如样本数量、指标)以及其他相关的超参数和设置, 可以在我们的GitHub仓库中访问. 此外, 我们正在发布作为评估一部分生成的数据, 并与公开可用的基准进行了比较, 这些可以在Huggingface上找到. 我们根据标准基准评估了我们的模型质量
(5.1.1) 基准标准,
(5.1.2) 评估多项选择题设置变化具有鲁棒性,
此外 (5.1.3) 还进行了抗性评估。
进一步地, 我们进行了污染分析, 估算我们的评估结果受训练数据污染影响的程度(第5.1.4节).
5.1.1 标准基准
我们希望通过表8中的大量标准基准评估结果来对比分析现有最先进的技术模型,并将其与Llama 3进行系统性比较研究。
这些评测结果涵盖以下八个关键领域:
(1)常识推理能力;
(2)知识检索与利用水平;
(3)阅读理解深度;
(4)数学运算与逻辑推理及问题解答能力;
(5)文档环境适应性测试;
(6)编程代码处理能力测试;
(7)抗干扰能力测试及对抗性分析评价指标体系构建过程中的考量因素分析阶段;
(8)多维度综合性能指标体系构建阶段。

实验设置 。针对每个基准点,我们评估了Llama 3与其他具有相近预训练规模的模型的分数。当可行时,在此过程中采用了自有的流程来重新计算其他模型的相关数据。为了确保公平比较,在每种情况下我们都选择了我们计算所得分数与该模型官方报告数值之间的最优匹配值。特别地,在某些情况下由于无法获得原始数据而导致无法进行重新计算的情况,则对该类问题进行了特殊处理:例如某些特定情况下的数据缺失问题(由于某些预训练模型尚未公开发布),这使得对所有与Llama 3 405B性能相当的模型均不提供该指标的具体数值说明)。特别地,在这种情况下特别指出:对于所有与Llama 3 405B相当的性能水平相关的指标而言,在缺乏原始数据的情况下我们将采用默认值进行补充说明(这在某种程度上影响了最终的整体比较结果)。因此,在撰写这部分内容时我们必须特别指出:对于这些特定指标而言我们的数据来源可能存在一定的限制性因素
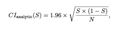
significance value 在计算基准得分时, 几个主要因素会导致基于模型在目标意图测量上的性能估计不够准确, 例如小样本试验、随机种子以及较大的批量大小. 这使得判断两个模型之间是否存在统计意义上的显著差异变得具有挑战性. 因此, 我们报告了我们的得分及其基于从基准数据中选择的不同版本的95%置信区间 (CIs). 我们采用了公式 (Madaan 等人, 2024b) 来分析计算这一百分比

其中S代表首要基准分值,N则作为基准样本数量。我们意识到,由于基准数据本身的变异性并非唯一来源,这些95%置信区间实际上仅反映了能力估计中的最小变异性程度。对于那些非算术平均指标而言,置信区间并未被包含进去。
本研究探讨了8 billion参数与70 billion参数模型的表现。实验结果表明,在多个评估指标上(包括常识推理能力、知识库检索能力、阅读理解水平、数学推理能力以及代码执行效率等),图12中的对比数据显示出了一致的趋势:即使用比当前主流规模稍小但训练时间较短的模型也能达到甚至超越现有方法的关键性能指标。具体而言,在几乎所有评估维度上均表现出显著优势的LLaMA-3-8B variant不仅能够实现更高的分类准确率(classification accuracy),而且其计算效率也得到了显著提升——这使得与其规模相当的传统LLaMA-2相比,在完成相同任务所需的时间上更具竞争力。值得注意的是,在知识检索任务中存在例外情况:当相关知识已接近系统知识容量上限时(saturated knowledge base scenario),LLaMA-3-70B variant的表现并未进一步提升;此外,在混合架构基准测试(Mixtral-8x22b)中仍然保持领先地位的LLaMA-3-70B variant则展现了更强的泛化能力
各模型的具体表现。表格9至14展示了预训练的Llama 3 8B、70B和405B模型在阅读理解任务、编码任务、常识理解任务、数学推理任务和一般任务上的基准表现。这些表格将Llama 3的表现与类似规模的模型进行了比较。结果显示,在其类别中,Llama 3 405B与其他模型表现相当,并且在很大程度上优于之前的开源模型。对于较长文本环境,在第5.2节中展示了一个更为全面的结果(包括像针堆中找针这样的探测任务)。

5.1.2 模型鲁棒性
除了基准测试的效果外,在预训练语言模型的质量评估中鲁棒性同样扮演着关键角色。我们聚焦于考察我们的预训练语言模型在多项选择题设置(MCQ)中对设计选项鲁棒性的适应能力。先前的研究指出模型的表现可能对这些设置中看似随意的设计选择极其敏感例如模型得分甚至排名可能会因上下文示例顺序以及标签(Lu等人2022Zhao等人2021Robinson和Wingate2023Liang等人2022Gupta等人2024)的变化而产生显著差异特定格式(Weber等人2023bMishra等人2022)或者答案选项排列顺序(Alzahrani等人2024Wang等人2024aZheng等人2023)的变化也会引发影响受此启发我们采用了MMLU基准体系来系统考察我们的预训练模型在以下方面的鲁棒性能:(1)样本标签偏差情况(2)标签变体影响(3)答案排列顺序变化以及(4)提示格式差异
• 小规模标注数据偏差 。基于Zheng等人的方法(2023)以及Weber等人(2023a)的研究框架 ,我们探讨了四个典型场景下的标签分布情况及其影响因素
- 所有数量较少的特征案例均标注为同一类别(AAAA);
- 每个示例都分配了独一无二的分类标识符(ABCD);
- 仅有两种分类类型存在,并分别对应AAAA与BBBB以及CCCC与DDDD。
基于Alzahrani等人(2024年的研究),我们考察了两类标记:一类是常见语⾔独⽴标记($ & # @),另一类是没有预设顺序的稀有符号组合(œ § з ü)。此外,在规范化的标签设置中尝试了两种不同的编码方案:一种是A、B、C、D与另一种是A-B-C-D的形式;同时还将这些规范化的标签应用到了编号列表中进行测试
基于Wang等⼈(2024a)提出的方法
我们对五个不同任务提示的表现进行了比较分析。这些指示在信息量的多少上存在差异:一个指示仅要求模型回答问题,而其他指示则断言模型的专业知识水平并要求选择最佳答案。
图13呈现了我们关于模型在标签变体(左侧)和少量样本标签偏差(右侧)的鲁棒性实验结果。结果表明我们的预训练语言模型在多项选择题标签的变化和少量样本提示标签的结构表现出很强的稳定性。特别地,在405B参数模型中这种稳定性表现得尤为突出。
图14呈现了我们在答案顺序和提示格式鲁棒性方面的研究结果。图中的结果进一步突显了我们预训练语言模型的性能稳定性尤其是Llama-3-Lite-405B参数规模最大的版本

5.1.3 对抗性基准
除了作为基础的基准测试之外,在三大类领域中若干个具有挑战性的对抗性基准上也展开了系统评估:包括问答能力、数学推理能力和语义理解能力这三个核心维度。该系列测试旨在考察模型在复杂任务环境下的处理能力,并可能揭示其对原有基准测试结果可能存在的过度拟合现象。其中,在问答任务方面采用的是抗/distilling方法结合Dynamic-Bench评测系统;在数学推理方面则采用了GSM-Plus评测框架;而在语义理解方面则采用了PAWS评测系统。
我们采用了non-competitive baseline tests, including SQuAD (Rajpurkar等人, 2016)用于问答任务,GSM8K用于数学推理,QQP(王等人, 2017)用于关联检测.每个数据点代表一组对抗性和非对抗性数据集(例如, QQP与PAWS之间的配对).我们展示了各类别内部所有可能的配对比例.分隔线上的黑色线条表示区分对抗性和非抗争性数据集的能力相当——当模型位于线上时表明其在抗争性问题上的性能表现一致.
在意义检测方面, 无论是预训练还是后训练模型, 都未被PAWS构建过程所预设的那种对抗性影响似乎未曾产生显著影响, 相较于前一代模型而言, 这是一个实质性的提升. 这一结果验证了Weber等人(2023a)的研究成果, 他们也发现大型语言模型对几种抗干扰数据集上识别出的虚假相关性并不敏感. 然而,在数学推理与问答任务中, 交错现象的表现明显低于非交错场景下的水平. 这种模式不仅适用于预训练模型, 而且也存在于后训练模型中
5.1.4 污染分析
我们展开了环境污染分析研究,并旨在评估基准测试分数在何种程度上可能受到预训练语料库中评估数据存在环境污染影响的程度。在先前的研究工作中,我们采用了多种不同的环境污染方法,每个方法都具备各自独特的超参数设置,并参考了Singh等人(2024)对数据环境污染问题的综述报告。然而,任何一种环境污染方案都可能面临误判与漏判的风险,而如何最有效地进行环境污染分析仍然是一个待解决的问题.在此研究中,我们将主要参考Singh等人(2024)的相关研究成果
方法 。具体而言,Singh等人(2024)推荐使用什么方法来区分"干净"数据集与整个数据集之间的最大差异,并将其称为性能提升度量的标准。针对我们所有评估的数据集,我们采用8-gram重叠技术进行示例评估,这种方法已被Singh等人(2024)证明在许多情况下表现优异。我们定义,如果一个样本在数据集中D中的token比例TD至少构成预训练语料库中某个8-gram子串的一部分,则该样本被认为是被污染过的。为了优化模型性能,我们将TD值单独确定给每个数据集,并选择能够使三种模型规模均获得显著性能提升的那个阈值。
具体说明

5.2 后训练语⾔模型
我们呈现了我们的Llama 3后训练模型在多维度性能评估测试中的具体表现。类似于预训练阶段,在这里我们也致力于提供生成数据集的一部分,并将其与可获得的基础集进行对比分析;这些可以在Huggingface平台找到。关于评估设置的进一步细节,请访问此处获取完整信息
评估标准与指标**部分中包含基于能力维度的所有必要基础性基准测试的概述。我们通过利用每个基准测试指示的精确匹配来对后训练数据进行去噪处理。除了采用的标准学术基准测试外, 我们还进行了广泛的人工评估, 详细内容请参考第5.3节
实验设置 。我们在预训练阶段采用了类似的实验设置,并对Llama 3和其他相近大小与性能的模型进行了比较分析。为了尽量准确地评估其他模型的表现并与其报告的数据进行对比,在此处分析了最佳分数的选择依据。

5.2.1 ⼀般知识和指令遵循基准测试
我们在表2中对Llama 3在⼀般知识和指令遵循的基准测试中进⾏评估。
⼀般知识 。我们利⽤MMLU(Hendrycks等⼈,2021a)和MMLU-Pro(Wang等⼈,2024b)来评估Llama 3在基于知识的问题回答⽅⾯的能⼒。对于MMLU,我们在没有CoT的5次射击标准设置下报告⼦任务准确性的宏观平均值。MMLU-Pro是MMLU的扩展,包含了更具挑战性、以推理为重点的问题,消除了嘈杂的问题,并将选项集从四个扩展到⼗个。鉴于其对复杂推理的专注,我们为MMLU-Pro报告5次射击CoT。所有任务都格式化为⽣成任务,类似于simple-evals(OpenAI,2024)。 如表2所⽰,我们的8B和70B Llama 3变体在两项⼀般知识任务上都优于其他类似⼤⼩的模型。我们的405B模型优于GPT-4和Nemotron 4 340B,Claude 3.5 Sonnet在更⼤的模型中领先。
指令遵循能力方面进行评估。该研究采用了IFEval框架(Zhou等, 2023),该框架包含约500条可验证指令示例,例如'撰写超过400字的内容'等具体操作场景,并通过启发式方法进行验证分析。研究者在表2中总结了在严格约束条件与宽松约束条件下的提示级与指令级准确度指标的平均值表现。值得注意的是,各Llama 3变体版本的表现均优于同类模型。
5.2.2 熟练度考试
随后,在进行了广泛的熟练度测试后
- GRE:来自教育测验服务中心的官方GRE模拟测试一和二;
- LSAT:官方LSAT预测试题集中的编号为71、73、80及93;
- SAT:官方SAT备考教材(2018年版)内包含八套全真模拟试题;
- AP:每门学科的标准化考试模拟练习;
- GMAT official online test system提供线上模考服务
这些考试中的问题包括多项选择题样式以及生成问题。我们去除了包含图像的问题。对于GRE考试中的多选题,在模型选择全部正确选项时才将其视为正确答案。每个包含超过一个测试集的考试都会使用少量提示来评估表现。我们将分数按照130至170的比例进行缩放,并报告其他所有考试的表现准确性。

结果可在表17中查得。我们发现, our Llama 3 (405B) model's performance is extremely close to that of Claude 3.5 Sonnet and GPT-4 (4o). Our model with 70B stands out particularly, significantly outperforming GPT-3.5 Turbo across the majority of tests and notably defeating Nemotron (340B) in numerous evaluations.
5.2.3 编码基准测试
我们考察Llama 3在流行Python及多种编程语言基准测试中的代码生成能力。该方法用于检验模型生成高质量代码的能力,在N次生成任务中一组单元测试的通过率被记录下来。具体报告了pass@1的具体数值。
Python code generation tasks. HumanEval (Chen et al., 2021) and MBPP (Austin et al., 2021) are widely-used benchmark datasets for Python code generation, focusing on relatively straightforward and self-contained functions. The HumanEval+ (Liu et al., 2024a) enhanced version includes additional test cases to minimize false positives. The MBPP EvalPlus baseline (v0.2.0) is a curated selection of 378 well-structured problems derived from the original MBPP dataset's 974 initial questions (Liu et al., 2024a). The results of these benchmark tests are presented in Table 18. Among these variant implementations, the Llama 3 models with 8B and 70B parameters outperform similarly-sized counterparts. For the largest model class, Llama 3 with 405B, Claude 3.5 Sonnet, and GPT-4 models demonstrate comparable performance, with the GPT-4 model showing superior results.

多种编程语言代码生成
5.2.4 多语⾔基准测试
Llama 3 涵盖英语、德语、法语、意大利语、葡萄牙语、印度语言以及西班牙语共八种语言,在底层模型已经在一个更为广泛的语言集合上进行了训练。表20中展示了多语言MMLU (Hendrycks等人, 2021a)以及多语言小学数学(MGSM) (Shi等人, 2022)基准测试结果评估Llama 3的表现
借助⾕歌翻译工具对MMLU问题进行处理,并结合少量样本⽰例和答案进行分析。为了保持技术细节的清晰性,在5次重复评估中对任务说明进行了英语描述。表20汇总了德语、法语、意⼤利语、葡⽛语、印地语、西班⽛语及泰语文本的平均性能数据
MGSM(Shi等⼈, 2022)。我们采用了simple-evals(OpenAI, 2024)中的相同指示,在零次迭代CoT设置下进行评估。详细展示了MGSM基准测试涵盖的语言及其平均结果。

研究结果表明,在MGSM评估基准下,Llama,3,405B的表现明显优于大多数现有模型,平均准确率达到91.6%。其在MMLU基准上的表现与英语领域主流模型相当,具体而言,其在两项指标中的表现分别落后于GPT-4o约2%。此外,在两项关键任务中取得显著优势的Llama,3,70B和8B模型不仅展示了强大的性能,而且它们之间的差距也远超出了竞争对手
5.2.5 数学与推理基准测试
基于我们进行的数学与推理基准测试的数据(如表2所示),Llama 3 8B版本在GSM8K、MATH以及GPQA等测试中展现了超越其他相近规模模型的能力。此外,我们70B规模的模型在各项基准测试中均表现优异。最后,在GSM8K与ARC-C两项测试中表现最优,在MATH领域则排名第二。值得注意的是,在GPQA评估指标上,该模型与其主要竞争对手GPT-4相当,并被Claude 3.5 Sonnet超越成为当前性能最强的系统之一。
5.2.6 ⻓⽂本环境基准测试
我们涵盖了多个领域及不同类型的文本材料,在下面提供的基准测试中特别关注采用无偏评估协议的子任务(即基于准确性而非n-gram重叠指标),并特别关注变异性较小的任务
- Kamradt(2023)提出了Needle-in-a-Haystack方法,用于评估模型在长文档随机背景中提取关键信息的能力。Llama 3模型展现出卓越的针头检索性能,在所有文档深度和上下文长度中实现了100%的针头检索效果。此外,我们还研究了Multi-needle(表21)这一方法的变体,在上下文中插入四个针头后测试模型能否检索到其中两个答案的情况下取得接近完美的检索结果。
- Shaham等人(2023)开发了ZeroSCROLLS基准测试框架,专为长文本零样本自然语言理解设计。尽管真实答案未被公开提供以供验证,在这项基准测试中Llama 3 405B和70B模型的表现均不低于其他现有方法。
- Zhang等人(2024)提出了InfiniteBench测试框架旨在考察模型对长依赖关系的理解能力。我们在En.QA(小说上的问答系统)和En.MC(小说上的多项选择问答系统)上评估了Llama 3 405B模型的表现,在En.QA任务上取得了显著超越其他模型的结果。
5.2.7 工具使用性能
在一系列零样本工具使用基准测试(即函数调用基准)中评估我们的模型:Nexus(Srinivasan等人, 2023)、API-Bank(Li等人, 2023b)、Gorilla API-Bench(Patil等人, 2023)以及伯克利函数调用排行榜(BFCL)(Yan等人, 2024)。表22展示了这些结果。在Nexus基准上, Llama 3变体的表现优于其对应模型.在API-Bank基准上, Llama 3-8B和70B模型在其所属类别中显著优于其他模型.405B模型仅落后于Claude 3.5 Sonnet的6个百分点.最后, Llama 3-405B和70B模型在BFCL排行榜上的表现具有竞争力,并在各自尺寸类别中接近第二名.Llama 3-8B在同类中表现最佳.

此外,在验证模型的工具应用能力方面。
此外,在验证模型的工具应用能力方面。
采用OpenAI的Assistants API对Llama 3 405B与GPT-4o进行了对比研究。研究结果可在图16中查看。就文本执行任务和图表生成而言,Llama 3 405B显著超越了GPT-4o.但在文件上传用例方面则表现稍逊

