Latex | IEEE双栏排版中长公式的排版
发布时间
阅读量:
阅读量
一、问题描述
IEEE双栏排版中,有时候公式过于长了,过宽,导致单栏排版不下。
二、解决思路
(1)可以把公式一行并做两行写,如

(2)把公式放在页面底部,跨栏排版
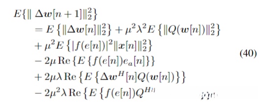
对于不是由多个短的项通过加减乘除构成的,而是某一项就特别长的公式,(1)的方法就没有用了,如下图,太吓人啦

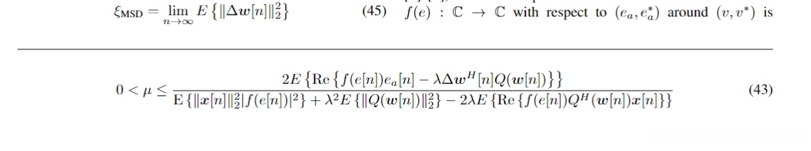
下文我们采取将公式放在页面底部,并且用一根水平线与正文内容相隔的方法,解决双栏排版中公式过长的问题
三、代码源码
\begin{figure*}[hb] % hb底部,ht为头部
\centering % 公式居中
\hrulefill % 添加一条水平线
\vspace*{8pt} % 调整线与公式之间的距离
\begin{equation}
\label{formula: bounds on mu}
0<\mu \leq \frac{2 E\left\{\operatorname{Re}\left\{f(e[n]) e_a[n]-\lambda \Delta \boldsymbol{w}^H[n] Q(\boldsymbol{w}[n])\right\}\right\}}{\mathrm{E}\left\{\|\boldsymbol{x}[n]\|_2^2|f(e[n])|^2\right\}+\lambda^2 E\left\{\|Q(\boldsymbol{w}[n])\|_2^2\right\}-2 \lambda E\left\{\operatorname{Re}\left\{f(e[n]) Q^H(\boldsymbol{w}[n]) \boldsymbol{x}[n]\right\}\right\}}
\end{equation}
\end{figure*}
四、运行效果

全部评论 (0)
还没有任何评论哟~
