DAViS Camera Optical Flow [论文解读]
DAViS Camera Optical Flow [论文解读]
-
-
- 介绍
- 背景
- Davis 光流计算
- 实验结果
-
- 分析时间和空间导数
-
光流结果
- 结论
- 公式附录
-
介绍
现有rgb光流方案大多来自由LK光流发展而来的差分图像模型,但不能处理告诉运动引起的大位移和遮挡,简单提高帧率不显示。本文是专为Davis设备设计的光流算法,结合DVS的高时间解析力和APS的高空间解析力优势,得到比传统光流算法更高精度的光流。
DVS 光流的难点:
- LK光流中亮度不变性假设不满足
- dvs中没有帧概念
贡献
- 从DVS和APS中得到时间和空间导数,再用传统OF方法计算运动场
- 利用DVS的时间分辨率,恢复了每个 APS 帧的近瞬时时间导数。改进了对快速和复杂运动的处理,同时也改善估计 OF 的空间定位的效果
背景
Frame-based 光流 *
亮度一致性假设

一阶泰勒展开得到 光流等式

式2是一个欠定问题,通过引入额外的约束来优化

局部空间连续性被引入用于约束位移量对时间的导数V

DVS * 提高相机的帧率可以减小 ΔX 和 Δt 的效果,以提高式2中的近似性,并减少图像受遮挡影响的区域。
* DVS 缺乏与场景对象的辐射值相对应的像素强度,不满足亮度一致性假设,因此对传统光流方法不友好
Davis 光流计算
-
log强度幅值

-
events信号的产生

log强度的异步信号:当变化幅度超过阈值时,产生下一个信号,信号幅度为极性信号,反应亮度变亮还是变暗 -
从events信号恢复log幅度信号J

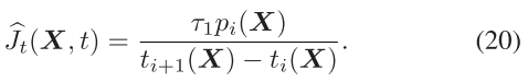
本文提出的 OF 算法的输出速率处于 APS 的同步帧速率,比 DVS 的异步输出慢。 但是基于 DAViS 的 OF 远远超过了仅从 DVS 或 APS 输出计算的估计光流向量的可靠性、准确性和分辨率
调整一下顺序,从算法讲起,不然推导太长

输入输出
输入:APS帧 I 和DVS events
输出:运动向量 V
算法涉及的变量及公式解释

#{ } 为集合的元素个数
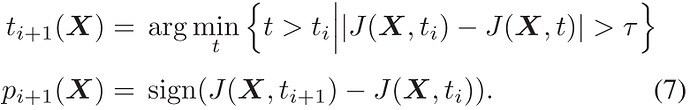
* $M_k(X)$是在 $k\Delta t$时间戳周围$\varepsilon$时间窗口内的events个数
* $\varepsilon$是控制时间窗口大小的超参
* $M_k^+$是在$k\Delta t$时间戳右侧$\varepsilon$时间窗口内的events个数
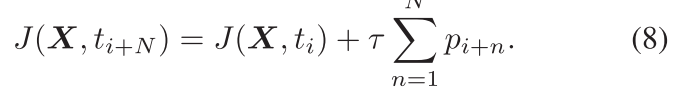
* N是用于回复log强度信号J的多项式次数,这里如果时间戳$k\Delta t$周围的events个数为0,直接输出J对t的导数为0,如果两侧的events个数都超过2,则N=2,否则N=1
Comment: 这里感觉N的设置主要是在求解里面设定多项式的最高次数,判断内插方式直接看M的判断条件比较直观。而且21式是cubic 内插,不知道这里是不是把N=3错写为2
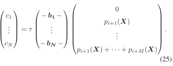
* M是当前时间戳两侧的events个数
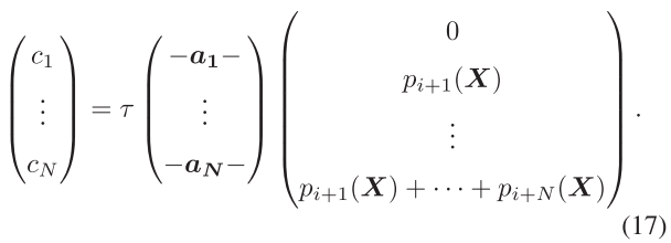
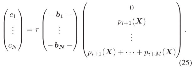
* 如果超过3个,则直接用25式的过完全导数内插就是有足够的events建立方程,用伪逆矩阵求解)

其中bN来自于式24

其中B来自式23

式23是待优化的误差函数,cN为待优化参数
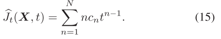
式15

式15来自于式13求导

式13的引入原因:要用DVS数据的低延迟特点来推断J对t的导数,因此用导数内插的方法。J(X,t) 是作为 t ∈ R 的函数的平滑信号,用t的高次多项式来内插恢复J
* 如果M=3
用式21来求解J对t的导数

其中A来自式14,见公式附录
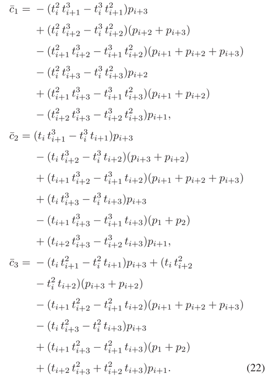
ci的求解见式22,见公式附录
* 如果M<3

式20就是直接用线性内插计算导数:相邻events计算出J对时间导数
Note:\{c_1,...,c_N\}要通过式17或25计算,见公式附录。两种方法都是通过观测到的events来计算出多项式系数
计算运动向量
通过APS帧计算帧的空间导数

直接计算log强度信号的空间导数

式4求解运动向量

算法2类似于算法1,不作详细解释

实验结果
分析时间和空间导数
- 时间空间导数
从APS帧得到空间导数是高质量的,从导数空间上在APS帧的边缘这一点可以得到支撑
基于事件的 OF 计算 DVS 事件在一段时间内的累积。 如图 3(e) 所示,与图 3(a, i) 中所示的 APS 输出相比,事件累积的空间表示较差,这使其不能很好地代表强度帧。 因此其随后的空间梯度图3g缺乏APS的空间细节。 缩短直方图的时间窗口可改善空间定位,但梯度不太稳定且噪声更大

时间导数3d,空间导数3c:在运动幅度较大时,传统APS光流方法的不可靠,因为光流方程中假设这两种导数是一致的
图 3(e,f)的时间导数图 3(h)在旋转圆盘的每个边缘附近显示正负号(如绿色和红色阴影像素所示)。
DVS 生成的事件类似于时间导数,图 3(h)类似于二阶导数的概念,二阶导数对噪声和误差更敏感。 将此与图 3(k) 中的导数插值 ΔJt(X,t) 进行对比,忠实地表示了图 3(i) 的近瞬时时间导数,时间导数的支持与图 3(j) 中的高保真空间梯度几乎完全匹配。
光流结果
图 5(e-f)中的 DVS-OF 方法无法解决运动场的空间变化。在汽车序列中两辆快速移动的汽车穿过路径,较暗的汽车隐藏在较轻的汽车后面。亮度恒定约束被遮挡无效,运动边界附近的 APS-OF 运动矢量是错误的。由于与 APS 帧几乎瞬时的鲁棒时间导数插值,DAViS-OF 方法对传统光流方法最具挑战性的快速运动和遮挡具有鲁棒性,并且移动汽车之间的运动边界被正确地恢复。

结论
DAViS-OF 利用 DVS 的高采样率来计算每帧的近瞬时时间导数,并利用 APS 的空间保真度来估计空间梯度,从而得到可靠的运动矢量估计。 本文展示了 DAViS-OF 可以克服当前基于帧的方法的挑战性限制,例如快速运动和遮挡,同时保持计算效率。实验显示 DAViS-OF 比 APS-OF 和 DVS-OF 方法更可靠、更一致地计算运动向量
公式附录




