Self-Supervised Agent Learning for Unsupervised Cross-Domain Person Re-Identification论文阅读笔记
习惯了看别人写的论文笔记,这篇文章没找到,关于学术,不敢写,怕自己理解有误,仅作参考吧
感兴趣的朋友还是要看原论文丫。
论文方向是:无监督域适应(UDA):网络从带标签的源域学到的参数转移到完全无标记的目标域。
论文的实现方法:
1.Self-Supervised Agent Learning
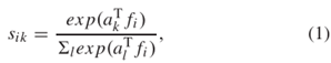
代理的目的:把源域和目标域关联起来。作者将Agent初始化为源域的类别特征(分类器的权重向量)。代理的数量是源域数据集中的id数量。在模型训练期间,更新代理。

表示图像特征
与代理
的相似性。
的和是1。
是分类器的权向量。

这个重构,是一个ID的加权表示。
重点理解一下这个agent思想,作者用带标签的source dataset的ID Loss初始化,以CUHK03为例,代理数767,代理向量
的维度767,
是一个标量.相当于一个分配权重,
"你像那个人,那自然分配给这个人的权重就大喽"
重点是:作者用这个思想来建立源域和目标域之间的联系.这是这篇文章的创新点.
再往下的都是更新agent,更新网络训练模型的loss,这个作者做了消融,尝试添加提升精度大的,这些都不是重点了,看看就好.
可以先移步看有源码的这篇论文 Unsupervised Person Re-identification by Soft Multilabel Learning,
2.Supervised Label Learning in Source Domain

为了建立源域与代理之间的关系,利用重构的特征来指导源域的分类学习。


3.Self-Supervised Learning in Cross Domain
目的:代理看作是连接源域和目标域的中间节点,可以自适应地帮助减少域间隙。agent和采样特征进行动态更新的过程中,所有agent和采样特征都可以映射到一个联合特征空间中,在该空间中可以得到域不变特征

这两个损失函数设计的目的:希望避免在嵌入联合特征时混淆不同域的类特征。


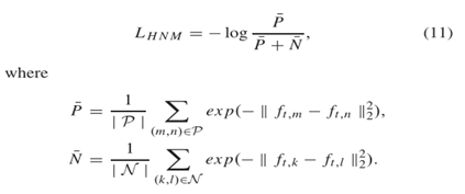
4.Similarity Consistency Learning in T arget Domain
目的:忽略了目标域的内域变化,而目标域是影响人再识别的重要因素。
利用相似系数Si,通过挖掘目标域的硬负样本来学习判别嵌入.

同时考虑特征相似度和相似系数一致性,可以对硬负样本进行挖掘。

F是余弦相似度,T为相似性系数一致性的定义阈值。





总结:重构思想挺好,可以做个学习的参考,适合泛读,拓展思路.
