Dempster-Shafer证据理论(证据推理融合)
发布时间
阅读量:
阅读量
证据理论源于1967年时提出的上概率与下概率理论,并于随后 Shafer对该理论进行了补充和完善。该理论通过建立命题与其对应的集合之间的明确关联,并将命题中的不确定性问题转化为基于集合论的知识表示方式。
一般的集合为:

其中元素是两两互斥的。
证据推理融合的集合为:

这里用m表示概率;
证据推理融合的公式为:


其中

称为规范化因子。
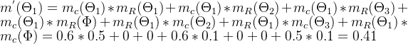
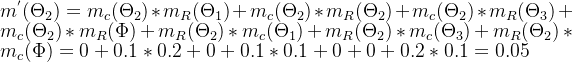
举例说明:假设中国的卫星观测器m_{c}(\Theta _{1})=0.6 , m_{c}(\Theta _{2})=0.1,m_{c}(\Theta _{3})=0.2,m_{c}(\Phi =0.1)
欧洲的卫星观测器

现在需要求出它们融合后的值。




进行归一化




此上就是证据推理融合。
全部评论 (0)
还没有任何评论哟~
