弹箭六自由度弹道计算程序资源集锦(C++、MATLAB、Python全覆盖)!
用户编写了一个C++程序,用于计算六自由度弹道问题。该程序通过参数输入、龙格库塔方法求解弹道微分方程组、处理气动参数以及输出计算结果完成弹道计算。程序的核心功能包括弹道学参数输入、数值求解方法、气动数据处理和结果输出。用户还提到了使用了气动数据和相关函数来计算弹道系数。
主要以导弹总体设计和GNC相关领域为研究方向,编程语言主要使用 Python 和 MATLAB。那天灵机一动,开始尝试用 C++ 编写一个弹道轨迹计算程序,大约两天时间就完成了。暂且打住,直接切入正题…
1、参考文献
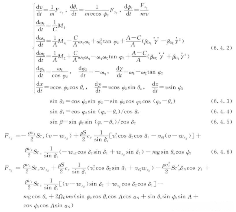
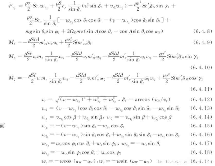
本文主要参考了韩子鹏所著的《弹箭外弹道学》一书,这是一本平装书,在市面上种类繁多的书籍中,选择这一本就足够了。本文的源代码中采用的参数命名方式遵循《弹箭外弹道学》第六章的命名原则,保持一致以避免因变量命名混乱而产生的困惑。六自由度弹箭弹道微分方程组的具体形式如下:


该弹道计算模型包含15个变量和15个方程组,当已知弹箭结构参数、气动力参数、射击条件、气象条件以及起始条件时,通过数值积分方法计算得到弹道规律和弹道参数在任意时刻的值。
2、程序内容
弹道学知识在此不做详细阐述,读者可参考《弹箭外弹道学》一书以获取相关知识。介绍六自由度弹箭弹道计算程序的框架结构。
程序框架包含五个组成部分:参数输入模块、弹道微分方程组求解函数、龙格-库塔算法实现模块、辅助功能模块以及结果输出模块。
(1)参数输入部分
参数输入部分包括:大气环境参数、弹箭结构参数、弹箭气动参数。
1 、大气环境参数
private:
const double G0 = 9.7803253359; // 地球表面重力加速度(m/s2)
const double rho0 = 1.205; // 地面大气密度(kg/m3)
const double T0 = 288.15; // 地面温度(K)
const double tatal0 = 289.1; // 地面虚温(K)
const double P0 = 0.1e6; // 地面气压(MPa)
const double R1 = 287; // 空气常数 J/KG/K
const double k_gas = 1.4; // 比热比
2、 弹箭结构参数
随便找了一个155榴弹的结构参数
double Mass = 42.76; // 弹丸重量(kg)
double D = 0.155; // 弹丸口径(m)
double S = PI * D*D / 4; // 弹丸横截面积(m2)
double L = 0.786; // 参考长度
double Alph_W = DegToRad(30); // 风的来向与正北方向的夹角(deg)
double Alph_N = DegToRad(10); // 射击方向与正北方向的夹角(deg)
double k = 17; // 诱导阻力系数
double A = 1.793; // 赤道转动惯量 kg*m2
double C = 0.142; // 极转动惯量
通过 MissileDatcome (如无该软件链接可访问作者主页以获取软件安装包和使用手册)对155mm榴弹进行气动计算。程序中定义了马赫数、零升阻力系数、升力系数导数、俯仰力矩系数导数、俯仰阻尼力矩系数、极阻尼力矩系数、马格努斯力矩系数及马格努斯力系数等矢量数组,用于存储读取的气动参数。
/*********************用来存放气动参数******************************/
std::vector<double> MACHs; // 马赫数
std::vector<double> CD0s; // 零升阻力系数
std::vector<double> CL_alphs; // 升力系数导数(关于攻角)
std::vector<double> mz_alphs; // 俯仰力矩系数导数(关于攻角)
std::vector<double> mzz_alphs; // 俯仰阻尼力矩系数(关于攻角)
std::vector<double> mxz_alphs; // 极阻尼力矩系数(关于滚转速率)
std::vector<double> my_alphs; // 马格努斯力矩系数(关于攻角)
std::vector<double> cz_alphs; // 马格努斯力系数(关于攻角)
/*****************************************************************/
(2)弹道微分方程组函数部分
为了避免节省篇幅,这里仅展示了弹道微分方程组的函数声明。具体表述如下:其中,函数表示为:f(t, y) = \frac{dy}{dt}。
/*弹道微分方程组函数声明*/
double func_v(double m, double F_x2);
double func_theat_a(double m, double v, double psi_2, double F_y2);
double func_psi_2(double m, double v, double F_z2);
double func_omega_xi(double C, double M_xi);
double func_omega_Eta(double A, double M_Eta, double C, double omega_xi, double omega_zeta, double phi_2);
double func_omega_zeta(double A, double M_zeta, double C, double omega_xi, double omega_Eta, double omega_zeta, double phi_2);
double func_phi_a(double omega_zeta, double phi_2);
double func_phi_2(double omega_Eta);
double func_gamma(double omega_xi, double omega_zeta, double phi_2);
double func_x(double v, double psi_2, double theat_a);
double func_y(double v, double psi_2, double theat_a);
double func_z(double v, double psi_2);
double sin_delta_2(double psi_2, double phi_2, double phi_a, double theta_a);
double sin_delta_1(double phi_2, double phi_a, double theta_a, double delta_2);
double beta(double psi_2, double phi_a, double theta_a, double delta_2);
double F_X2(double P, double y, double vr, double v, double delta_r, double wx2, double delta_1, double delta_2,
double vr_xi, double wz2, double wy2, double theat_a, double psi_2);
double F_Y2(double P, double y, double vr, double v, double delta_r, double wy2, double delta_1, double delta_2,
double vr_zeta, double wx2, double wz2, double theat_a);
double F_Z2(double P, double y, double vr, double v, double delta_r, double wy2, double delta_1, double delta_2,
double vr_zeta, double wx2, double wz2, double theat_a, double psi_2);
double M_xi(double P, double y, double vr, double omega_xi, double v);
double M_eta(double P, double y, double vr, double delta_r, double vr_zeta, double v, double omega_Eta,
double omega_xi, double vr_eta);
double M_zeta(double P, double y, double vr, double delta_r, double v, double vr_eta, double omega_zeta,
double omega_xi, double vr_zeta);
double vr(double v, double wx2, double wy2, double wz2);
double delta_r(double vr_xi, double vr);
double vr_xi(double v, double wx2, double delta_2, double delta_1, double wy2, double wz2);
double vr_eta(double vr_eta2, double beta, double vr_zeta2);
double vr_zeta(double vr_eta2, double beta, double vr_zeta2);
double vr_eta2(double v, double wx2, double delta_1, double wy2);
double vr_zeta2(double v, double wx2, double delta_2, double delta_1, double wy2, double wz2);
double wx2(double wx, double psi_2, double theat_a, double wz);
double wy2(double wx, double theat_a);
double wz2(double wx, double psi_2, double theat_a, double wz);
double wx(double w, double Alph_W, double Alph_N);
double wz(double w, double Alph_W, double Alph_N);
(3)龙格库塔函数部分
在本研究中,采用4阶龙格库塔法作为弹道解法的核心算法。该方法在大多数实际应用中均能有效满足精度需求。需要注意的是,时间步长必须严格控制在0.005秒以下,否则会导致计算发散。对于这一部分较为复杂的理论内容,我在另一篇文章中进行了优化阐述,以更清晰的方式向读者呈现。值得注意的是,在Matlab和Python等主流编程环境中,通常会直接调用现成的库函数来实现相关计算,无需自行开发。这部分内容的编写旨在为需要的读者提供参考,帮助他们更好地理解和应用相关技术。
/***********************************龙格库塔求解函数****************************/
void Trajectory_6FreedomDegree::RK4(double & v, double & theat_a, double & psi_2, double & omega_xi, double & omega_Eta,
double & omega_zeta, double & phi_a, double & phi_2, double & gamma, double & x, double & y, double & z,
double hdt, double m, double F_x2, double F_y2, double F_z2, double C,
double M_xi, double A, double M_Eta, double M_zeta)
{
Trajectory_6FreedomDegree RK_1; // 创建一个对象,用来调用类 Trajectory_6FreedomDegree 里面的函数完成 龙格-库塔的计算。
double K1_v, K2_v, K3_v, K4_v;
double K1_theat_a, K2_theat_a, K3_theat_a, K4_theat_a;
double K1_psi_2, K2_psi_2, K3_psi_2, K4_psi_2;
double K1_omega_xi, K2_omega_xi, K3_omega_xi, K4_omega_xi;
double K1_omega_Eta, K2_omega_Eta, K3_omega_Eta, K4_omega_Eta;
double K1_omega_zeta, K2_omega_zeta, K3_omega_zeta, K4_omega_zeta;
double K1_phi_a, K2_phi_a, K3_phi_a, K4_phi_a;
double K1_phi_2, K2_phi_2, K3_phi_2, K4_phi_2;
double K1_gamma, K2_gamma, K3_gamma, K4_gamma;
double K1_x, K2_x, K3_x, K4_x;
double K1_y, K2_y, K3_y, K4_y;
double K1_z, K2_z, K3_z, K4_z;
double v_1, theat_a_1, psi_2_1, omega_xi_1, omega_Eta_1, omega_zeta_1, phi_a_1, phi_2_1,
gamma_1, x_1, y_1, z_1;
K1_v = RK_1.func_v(m, F_x2);
K1_theat_a = RK_1.func_theat_a(m, v, psi_2, F_y2);
K1_psi_2 = RK_1.func_psi_2(m, v, F_z2);
K1_omega_xi = RK_1.func_omega_xi(C, M_xi);
K1_omega_Eta = RK_1.func_omega_Eta(A, M_Eta, C, omega_xi, omega_zeta, phi_2);
K1_omega_zeta = RK_1.func_omega_zeta(A, M_zeta, C, omega_xi, omega_Eta, omega_zeta, phi_2);
K1_phi_a = RK_1.func_phi_a(omega_zeta, phi_2);
K1_phi_2 = RK_1.func_phi_2(omega_Eta);
K1_gamma = RK_1.func_gamma(omega_xi, omega_zeta, phi_2);
K1_x = RK_1.func_x(v, psi_2, theat_a);
K1_y = RK_1.func_y(v, psi_2, theat_a);
K1_z = RK_1.func_z(v, psi_2);
v_1 = v + hdt * K1_v;
theat_a_1 = theat_a + hdt * K1_theat_a;
psi_2_1 = psi_2 + hdt * K1_psi_2;
omega_xi_1 = omega_xi + hdt * K1_omega_xi;
omega_Eta_1 = omega_Eta + hdt * K1_omega_Eta;
omega_zeta_1 = omega_zeta + hdt * K1_omega_zeta;
phi_a_1 = phi_a + hdt * K1_phi_a;
phi_2_1 = phi_2 + hdt * K1_phi_2;
gamma_1 = gamma + hdt * K1_gamma;
x_1 = x + hdt * K1_x;
y_1 = y + hdt * K1_y;
z_1 = z + hdt * K1_z;
K2_v = RK_1.func_v(m, F_x2);
K2_theat_a = RK_1.func_theat_a(m, v_1, psi_2_1, F_y2);
K2_psi_2 = RK_1.func_psi_2(m, v_1, F_z2);
K2_omega_xi = RK_1.func_omega_xi(C, M_xi);
K2_omega_Eta = RK_1.func_omega_Eta(A, M_Eta, C, omega_xi_1, omega_zeta_1, phi_2_1);
K2_omega_zeta = RK_1.func_omega_zeta(A, M_zeta, C, omega_xi_1, omega_Eta_1, omega_zeta_1, phi_2_1);
K2_phi_a = RK_1.func_phi_a(omega_zeta_1, phi_2_1);
K2_phi_2 = RK_1.func_phi_2(omega_Eta_1);
K2_gamma = RK_1.func_gamma(omega_xi_1, omega_zeta_1, phi_2_1);
K2_x = RK_1.func_x(v_1, psi_2_1, theat_a_1);
K2_y = RK_1.func_y(v_1, psi_2_1, theat_a_1);
K2_z = RK_1.func_z(v_1, psi_2_1);
v_1 = v + hdt * K2_v;
theat_a_1 = theat_a + hdt * K2_theat_a;
psi_2_1 = psi_2 + hdt * K2_psi_2;
omega_xi_1 = omega_xi + hdt * K2_omega_xi;
omega_Eta_1 = omega_Eta + hdt * K2_omega_Eta;
omega_zeta_1 = omega_zeta + hdt * K2_omega_zeta;
phi_a_1 = phi_a + hdt * K2_phi_a;
phi_2_1 = phi_2 + hdt * K2_phi_2;
gamma_1 = gamma + hdt * K2_gamma;
x_1 = x + hdt * K2_x;
y_1 = y + hdt * K2_y;
z_1 = z + hdt * K2_z;
K3_v = RK_1.func_v(m, F_x2);
K3_theat_a = RK_1.func_theat_a(m, v_1, psi_2_1, F_y2);
K3_psi_2 = RK_1.func_psi_2(m, v_1, F_z2);
K3_omega_xi = RK_1.func_omega_xi(C, M_xi);
K3_omega_Eta = RK_1.func_omega_Eta(A, M_Eta, C, omega_xi_1, omega_zeta_1, phi_2_1);
K3_omega_zeta = RK_1.func_omega_zeta(A, M_zeta, C, omega_xi_1, omega_Eta_1, omega_zeta_1, phi_2_1);
K3_phi_a = RK_1.func_phi_a(omega_zeta_1, phi_2_1);
K3_phi_2 = RK_1.func_phi_2(omega_Eta_1);
K3_gamma = RK_1.func_gamma(omega_xi_1, omega_zeta_1, phi_2_1);
K3_x = RK_1.func_x(v_1, psi_2_1, theat_a_1);
K3_y = RK_1.func_y(v_1, psi_2_1, theat_a_1);
K3_z = RK_1.func_z(v_1, psi_2_1);
v_1 = v + hdt * K3_v;
theat_a_1 = theat_a + hdt * K3_theat_a;
psi_2_1 = psi_2 + hdt * K3_psi_2;
omega_xi_1 = omega_xi + hdt * K3_omega_xi;
omega_Eta_1 = omega_Eta + hdt * K3_omega_Eta;
omega_zeta_1 = omega_zeta + hdt * K3_omega_zeta;
phi_a_1 = phi_a + hdt * K3_phi_a;
phi_2_1 = phi_2 + hdt * K3_phi_2;
gamma_1 = gamma + hdt * K3_gamma;
x_1 = x + hdt * K3_x;
y_1 = y + hdt * K3_y;
z_1 = z + hdt * K3_z;
K4_v = RK_1.func_v(m, F_x2);
K4_theat_a = RK_1.func_theat_a(m, v_1, psi_2_1, F_y2);
K4_psi_2 = RK_1.func_psi_2(m, v_1, F_z2);
K4_omega_xi = RK_1.func_omega_xi(C, M_xi);
K4_omega_Eta = RK_1.func_omega_Eta(A, M_Eta, C, omega_xi_1, omega_zeta_1, phi_2_1);
K4_omega_zeta = RK_1.func_omega_zeta(A, M_zeta, C, omega_xi_1, omega_Eta_1, omega_zeta_1, phi_2_1);
K4_phi_a = RK_1.func_phi_a(omega_zeta_1, phi_2_1);
K4_phi_2 = RK_1.func_phi_2(omega_Eta_1);
K4_gamma = RK_1.func_gamma(omega_xi_1, omega_zeta_1, phi_2_1);
K4_x = RK_1.func_x(v_1, psi_2_1, theat_a_1);
K4_y = RK_1.func_y(v_1, psi_2_1, theat_a_1);
K4_z = RK_1.func_z(v_1, psi_2_1);
v = v + hdt * (K1_v + 2.0*K2_v + 2.0*K3_v + K4_v) / 6.0;
theat_a = theat_a + hdt * (K1_theat_a + 2.0*K2_theat_a + 2.0*K3_theat_a + K4_theat_a) / 6.0;
psi_2 = psi_2 + hdt * (K1_psi_2 + 2.0*K2_psi_2 + 2.0*K3_psi_2 + K4_psi_2) / 6.0;
omega_xi = omega_xi + hdt * (K1_omega_xi + 2.0*K2_omega_xi + 2.0*K3_omega_xi + K4_omega_xi) / 6.0;
omega_Eta = omega_Eta + hdt * (K1_omega_Eta + 2.0*K2_omega_Eta + 2.0*K3_omega_Eta + K4_omega_Eta) / 6.0;
omega_zeta = omega_zeta + hdt * (K1_omega_zeta + 2.0*K2_omega_zeta + 2.0*K3_omega_zeta + K4_omega_zeta) / 6.0;
phi_a = phi_a + hdt * (K1_phi_a + 2.0*K2_phi_a + 2.0*K3_phi_a + K4_phi_a) / 6.0;
phi_2 = phi_2 + hdt * (K1_phi_2 + 2.0*K2_phi_2 + 2.0*K3_phi_2 + K4_phi_2) / 6.0;
gamma = gamma + hdt * (K1_gamma + 2.0*K2_gamma + 2.0*K3_gamma + K4_gamma) / 6.0;
x = x + hdt * (K1_x + 2.0*K2_x + 2.0*K3_x + K4_x) / 6.0;
y = y + hdt * (K1_y + 2.0*K2_y + 2.0*K3_y + K4_y) / 6.0;
z = z + hdt * (K1_z + 2.0*K2_z + 2.0*K3_z + K4_z) / 6.0;
}
/*******************************************************************************/
(4)其它相关函数
除了上述部分之外,此外还需要一些其他的辅助函数,包括以下几个方面:虚温关于高度的函数、空气密度函数、音速、弧度转角度的转换、角度转弧度的转换,以及基于线性插值的气动数据读取函数。
// 虚温随高度变化函数
double Trajectory_6FreedomDegree::tatal(double y)
{
double G = 6.328e-3;
if (y <= 9300) {
return tatal0 - G * y;
}
if (9300 < y <= 12000) {
return (230.2 - 6.328e-3*(y - 9300) + 1.172e-6*(y - 9300)*(y - 9300));
}
else if (y > 12000) {
return 221.7;
}
}
// 空气密度函数
double Trajectory_6FreedomDegree::rho(double P, double y)
{
double tatal_temp = tatal(y);
return P / (R1*tatal_temp);
}
// 声速
double Trajectory_6FreedomDegree::Cs(double y)
{
double tatal_temp2 = tatal(y);
return sqrt(k_gas*R1*tatal_temp2);
}
// 弧度转角度
double Trajectory_6FreedomDegree::RadToDeg(double rad)
{
return rad * 180.0 / PI;
}
// 角度转弧度
double Trajectory_6FreedomDegree::DegToRad(double deg)
{
return deg * PI / 180.0;
}
该气动部分采用了 missiledatcom 计算所得的数据,使用体验较为便捷。如需进一步了解,可访问我的主页查看相关介绍文章。
public:
/*********************气动参数************************************/
void redaData(); // 读取气动力系数
double Interpolation_CD0(double y, double v); // 对零升阻力系数CD0插值
double Interpolation_CL_alph(double y, double v); // 对升力系数导数CL_alphs插值
double Interpolation_mz_alph(double y, double v); // 对俯仰力矩系数导数 mz_alph插值
double Interpolation_mzz_alph(double y, double v); // 对俯仰阻尼力矩系数导数 mzz_alph插值
double Interpolation_mxz_alph(double y, double v); // 对极阻尼力矩系数导数 mxz_alph插值
double Interpolation_my_alph(double y, double v); // 对马格努斯力矩系数导数 my_alph插值
double Interpolation_cz_alph(double y, double v); // 对马格努斯力系数导数 cz_alph插值
/*****************************************************************/
基于俯仰阻尼力矩系数导数 mzz_alph 的插值方法,可以实现阻尼特性与结构响应之间的精确关联。
double Trajectory_6FreedomDegree::Interpolation_mzz_alph(double y, double v)
{
double Cs_temp = Cs(y);
double ma = v / Cs_temp;
for (int j = 0; j < MACHs.size(); j++) {
if (MACHs[j] == ma) {
return mzz_alphs[j];
}
else if (MACHs[j] != ma) {
if (ma < MACHs[0]) {
return (mzz_alphs[0] - 0) * (ma - 0) / (MACHs[0] - 0) + 0;
}
if (ma > MACHs.back()) {
return (0 - mzz_alphs.back())*(ma - MACHs.back()) / (0 - MACHs.back()) + mzz_alphs.back();
}
else if (MACHs[0] < ma < MACHs.back()) {
if ((ma - MACHs[j]) < (MACHs[j + 1] - MACHs[j])) {
double xielv = (ma - MACHs[j]) / (MACHs[j + 1] - MACHs[j]);
return (1 - xielv)*mzz_alphs[j] + xielv * mzz_alphs[j + 1];
}
}
}
}
}
(5)弹道计算结果输出函数
/*输出弹道计算结果*/
// 输出的数据顺序为:时间、速度、射程、射高、横偏、弹道倾角、速度偏角、弹轴俯仰角、弹轴偏角、攻角
std::ofstream outFileS_H("../result.dat", std::ios::out);
for (int j = 0; j < y_s.size(); ++j)
{
outFileS_H << t_s[j] << setw(13) << v_s[j] << setw(13) << x_s[j] << setw(13)
<< y_s[j] << setw(13) << z_s[j] << setw(13) << RadToDeg(theta_a_s[j]) << setw(13) << RadToDeg(psi_2_s[j])
<< setw(13) << RadToDeg(phi_a_s[j]) << setw(13) << RadToDeg(phi_2_s[j]) << setw(13) << RadToDeg(delta_s[j])
<< endl;
}
outFileS_H.close();
cout << " " << endl;
cout << "6自由度刚体弹道计算结束,数据结果已输出... " << endl;
计算结束输出的结果文件 “result.dat”


3、结果展示
好了,到了这一步终于可以看看弹道程序计算完成后的结果了!!!






4、气动计算
在推导六自由度弹道轨迹的过程中,必须考虑飞行物所受的气动力学参数,尤其是气动力和气动力矩系数。在我的文章《missiledatcom算气动详解》中,对missiledatcom的气动计算方法进行了深入的阐述和分析。
欢迎感兴趣的读者和作者沟通交流,qq:2414342361

