论文Forward CollisionWarning with a Single Camera解读
发布时间
阅读量:
阅读量
这篇论文介绍了MobilEye的基于视觉的前车碰撞预警算法。
不去进行3D建模,直接去计算TTC(Time-to-Contact)。
情况一 相对速度恒定时
由相机模型的几何关系进行推理


S表示
时间间隔内同一物体连续两张图片的宽度比例。
表示连续两帧的时间差。
做这个实验是,需要的数据为,前后两帧检测到的物体在图片中宽度比值。
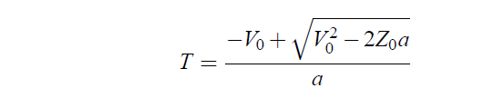
情况二 相对速度变化,存在加速度时

Z表示
时间后二者的相对距离,
是初始相对距离,假设以当前的加速度计算,Z=0即二者相对距离为0时,即发生碰撞。
即为TTC。
此时令Z=0,看成
的一元二次方程,求解得到:

如果可以求出T,那就可以得到TTC了。又因为对于图像来说,以上的速度和加速度都不是可以直观观察到的。但是由情况一可知,在恒定速度模型下的
是已知的。
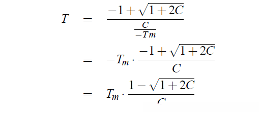
等号两侧分别对时间求导,引入辅助参数C,

得到了a,带入 得到:
,然后再用
则得到

C为离散导数+1,即前一时刻的Tm值减掉后一时刻的值,然后再除以时间。
Tm的求法就再参考情况一中的求法,利用图片的尺度变化求出来。这样就解决了问题。
如果需要验证这篇论文的算法,需要知道前后两帧主目标的宽度变化比例,然后再知道真值即可。
全部评论 (0)
还没有任何评论哟~
