Boundary-sensitive Network for Portrait Segmentation论文解读
发布时间
阅读量:
阅读量
这是 一篇做肖像分割的论文,以下是我看完以后的一些记录。
1.整体框架图

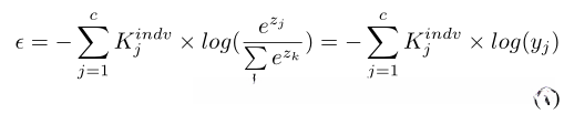
创新点1.个体边缘敏感算子


其中Ii-Cj代表当前像素点离最近像素点的距离
当每一个像素点在一次尝试中进行前向传播时损失函数为:

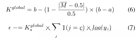
创新点2:全局边缘敏感算子
算子和损失函数为:

全局算子生成的可能性图表展示了每个像素点对应于前景与背景的可能性分布情况,在此之后各独立算子图像则依次排列展示

创新点3:边缘敏感属性分类器
该分类系统将头发长度(长发或短发)作为特征输入到ResNet模型中进行训练,并根据训练结果输出性别二分类结果。
我对这个分类器的实际用途感到困惑;原本我以为整个流程大致如下:先是分别训练长发相关的网络和短发相关的网络进行图像识别;测试时通常是先完成图像的整体分类然后再进行图像分割;但是实际并非如此。
实验结果:

总结:感觉肖像分割没得做了,想想有没有可能做别的子课题。
全部评论 (0)
还没有任何评论哟~
