论文解析:SO-Net: Self-Organizing Network for Point Cloud Analysis
SO-Net: Self-Organizing Network for Point Cloud Analysis
本文提出SO-Net的网络结构用于无序点云的特征提取。 SO-Net通过构建自组织映射(Self-Organizing Map)来模拟点云的空间分布。基于SOM,SO-Net对单个点和SOM节点进行分层特征提取,最终用一个特征向量表示输入点云。
SOM介绍
SOM自组织神经网络是神经网络的一种,与前馈神经网络不同,它是一种无监督学习,适用于数据聚类和数据降维,其生理学依据是神经网络接受外界输入模式时,将会分为不同的对应区域,各区域对输入模式具有不同的响应特征。SOM由两层网络组成,分别为输入层和竞争层。
(1)输入层:通过权向量将外界信息汇集到输出层各神经元。输入层的形式与BP网相同,节点数与样本维数相同。
(2)输出层:输出层也是竞争层。其神经元的排列有多种形式。分为一维线阵,二维平面阵和三维栅格阵。最典型的结构是二维形式。它更具大脑皮层的形象。输出层的每个神经元同它周围的其他神经元侧向连接,排列成棋盘状平面;输入层为单层神经元排列。

- 以下是维基百科上SOM的学习机制示意图

蓝色斑点是训练数据的分布,而小白色斑点是从该分布中抽取得到的当前训练数据。首先(左图)SOM节点被任意地定位在数据空间中。我们选择最接近训练数据的节点作为获胜节点(用黄色突出显示)。它被移向训练数据,包括(在较小的范围内)其网格上的相邻节点。经过多次迭代后,网格趋于接近数据分布(右图)。
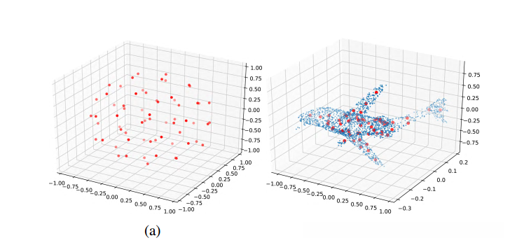
回到本文,如下图所示,图a为初始的SOM节点,图b是SOM训练后的结果。为了保持排列的不变性,文中对SOM训练做了如下规定:
(1) SOM的初始节点固定不变。
(2) SOM的训练更新规则由“一点”更新一次改为“所有点”更新一次。

SO-Net简介
在给定SOM的节点S(节点数量M为25-121)后,针对点云每一个点pi,找到其在S上的K个邻近点S_ik:

之后,p_i与其相邻k点作相减归一化操作,即:

这样将得到KN个点和节点相关联的特征,送入全连接层,网络的基础结构如图所示:
具体网络结构不在此赘述,有兴趣的朋友可以参考作者github的源码。
参考文献
【1】: https://github.com/lijx10/SO-Net
【2】: http://arxiv.org/abs/1803.04249
【3】: http://www.cnblogs.com/surfzjy/p/7944454.html
【4】: https://zhuanlan.zhihu.com/p/34121865
【5】: http://www.ziyoubaba.com/archives/606
