怎么做应力应变曲线_做了这么多年材料,这些力学性能测试你做对了吗?
近年来,随着高分子材料的飞速发展,塑料作为其中重要的应用,各种性能有了显著的提高,在某些领域已经有了取代木材、金属材料的趋势。

国高材分析测试中心高速拉伸试验机
对于塑料制品而言,由于其品种繁多,不同的内容组成和结构差别造就了其性能的差别。为了使塑料材料及其制品能够安全可靠的使用,对其进行性能检验是非常有必要的。其中,力学性能检验是最重要的检验之一。
常用塑料的力学性能测试如下:
- 密度与比重
- 拉伸性能测试
- 压缩性能测试
- 弯曲性能测试
- 冲击强度的测定
- 蠕变与应力松弛
- 洛氏/邵氏硬度
1.密度与比重
塑料的比重是在一定的温度下,秤量试样的重量与同体积水的重量之比值,单位为g/cm3,常用液体浮力法作测定方法.

塑料密度测试仪
在质量相同的条件下,密度越轻,根据ρ=m/V,比重越小,在等体积,价格相同的情况下,比重越小的材料可以制造的产品越多,单个产品的材料成本也就越低,而且可以减少产品的重量,节省运输等费用。所以,比重是非常重要的属性。特别是在塑料代替金属等材料的时候,是特别大的一个优势。
2. 拉伸性能测试
基本概念 :在拉伸试验中,保持这种受力状态最终,就是测量拉伸力直至材料断裂为止,所承受的最大拉伸应力称为拉伸强度。

实验原理 :拉伸实验是对材料沿纵轴方向施加静态拉伸负荷,使其破坏。通过测定试样的屈服力破坏力和材料标距间的伸长来求得材料的屈服强度、拉伸强度和伸长率。
基本定义:
拉伸应力:试样在计量标距范围内,单位初始横截面上承受的拉伸负荷。
拉伸强度:在拉伸试验中试样直到断裂为止,所承受的最大拉伸应力。
拉伸断裂应力:在拉伸应力-应变曲线上,断裂时的应力。
拉伸屈服应力:在拉伸应力-应变曲线上,屈服点处的应力。
断裂伸长率:在拉力作用下,试样断裂时,标线间距离的增加量与初始标距之比,以百分率表示。
弹性模量:在比例极限内,材料所受应力与产生响应的应变之比。
应力-应变曲线
由应力-应变的相应值彼此对应的绘成曲线,通常以应力值作为纵坐标,应变值作为横坐标。应力-应变曲线一般分为两个部分:弹性变形区和塑性变形区,在弹性变形区,材料发生可完全恢复的弹性变形,应力和应变呈正比例关系。曲线中直线部分的斜率即是拉伸弹性模量值,它代表材料的刚性。弹性模量越大,刚性越好。在塑性变形区,应力和应变增加不在呈正比关系,最后出现断裂。

常用拉伸试样形状

高聚物的应力-应变曲线
实验步骤 :
①试样的状态调节和试验环境按国家标准规定。
②在试样中间平行部分做标线,示明标距。
③测量试样中间平行部分的厚度和宽度,精确0.01mm,II型试样中间平行部分的宽度,精确到0.05mm,测3点,取算术平均值。
④夹具夹持试样时,要使试样纵轴与上下夹具中心连线重合,且松紧适宜。
⑤选定试验速度,进行试验。
⑥记录屈服时负荷,或断裂负荷及标距间伸长。试样断裂在中间平行部分之外时,此试样作废,另取试样补做。
实验影响因素
(1)成型条件:由试样自身的微观缺陷和微观不同性引起
(2) 温度和湿度:
(3)拉伸速度:塑料属于粘弹性材料,其应力松弛过程与变形速率紧密相关,需要一个时间过程
(4)预处理:材料在加工过程中,由于加热和冷却的时间和速度不同,易产生局部应力集中,经过在一定温度下的热处理或称退火处理,可以消除内应力,提高强度
(5)材料性质:结晶度、取向、分子量及其分布、交联度
(6)老化:老化后强度明显下降
3. 压缩性能测试
基本概念 :试样破坏时的最大压缩载荷除以试样的横截面积,称为压缩强度极限或抗压强度。压缩试验是测定材料在轴向静压力作用下的力学性能的试验,是材料机械性能试验的基本方法之一。与拉伸试验相似,通过压缩试验可以作出压缩曲线。


实验原理 :
压缩实验室最常见的一种力学试验,是钯试样置于万能试验机的两压板之间,并在沿试样两端面的主轴方向,以恒定速率施加一个可以测量的大小相等相反的力,并使试样沿轴向方向缩短,而径向方向增大,产生压缩变形,直到试样破裂或者变形达到规定的如25%的数值为止。施加的负荷由试验机上直接读得,并按下式计算其压缩应力。
σ=P/F
式中:σ-压缩应力,MPa;P-压缩负荷,N;F-试样原始横截面积,mm2。
试样在压缩负荷作用下高度的该变量称为压缩变形,按下式计算:
ΔH=H0-H
式中:ΔH-试样的压缩形变,mm;H0-试样原始高度,mm;H-压缩过程中任何时刻试样的高度,mm。
ε=ΔH/ H0
式中:ε-试样压缩应变;ΔH-试样的压缩形变,mm;H0-试样原始高度,mm;H-压缩过程中任何时刻试样的高度,mm。
E=(σ2-σ1)/(ε2-ε1)
式中:E-试样的压缩模量,MPa。
基本定义 :
压缩屈服应力:指应力-应变曲线上第一次出现应变增加而应力不增加的转折点(屈服点)对应的应力,以MPa表示。
压缩强度:指在压缩试验中试样承受的最大压缩应力,以MPa表示,它不一定市试样破坏瞬间所承受的压缩应力。
定应变压缩应力:指规定应变时的压缩应力,即与应变为25%时对应的应力值,以MPa表示。
压缩模量:指在应力-应变曲线的线性范围内,压缩应力与压缩应变的比值,以MPa表示,取应力-应变曲线上两点的应力差与对应的应变之比。
影响因素 :
(1)试样的细长比:(试样高度与试样截面的最小回转半径之比)是最大的影响因素。由于试样受压时,其上下端面与试验机压板之间产生较大的摩擦力,阻碍试样上下两端面的横向变形,试样高度越小,影响程度越大。
(2)实验速度:一般来讲,随着实验速度的增加,压缩强度与压缩应变值均有所增加。实验速度在1-5mm/min时变化较小。压缩试验的同一试样必须在同一实验速度下进行,并且最好选用较低的实验速度。
4. 弯曲性能测试
方法原理
试验时将一规定形状和尺寸的试样置于两支坐上,并在两支坐的中点施加一集中负荷,使试样产生弯曲应力和变形。这种方法称静态三点式弯曲试验。(另一加载方法为四点式,这里不介绍。)

弯曲测试试验装置


基本定义
挠度:弯曲试验过程中,试样跨度中心的定面或底面偏离原始位置的距离。
弯曲应力:试样在弯曲过程中的任意时刻,中部截面上外层纤维的最大正应力。
弯曲强度:在到达规定挠度值时或之前,负荷达到最大值时的弯曲应力。
定挠弯曲应力:挠度等于试样厚度1.5倍时的弯曲应力。
弯曲屈服强度:在负荷-挠度曲线上,负荷不增加而挠度骤增点的应力。
实验步骤
①使用游标卡尺测量试样中间部位的宽度和厚度,测量三点,取其平均值,精确到0.02mm。
②电子式万能材料试验机使用前预热30分钟。
③调节好跨度,将试样放于支架上,上压头与试样宽度的接触线须垂直于试样长度方向,试样两端紧靠支架两头。
④启动下降按钮,试验机按设定的参数开始工作。当压头接触到试样后,计算机开始自动记录试样所受的载荷及其产生的位移数据。至试样到达屈服点或断裂时为止,立即停机。
⑤保存数据,并根据数据作弯曲载荷-位移曲线图,并保存。根据图形分析试样的弯曲力学行为。
实验影响因素
(1)试样尺寸和加工试样的厚度和宽度都与弯曲强度和挠度有关。
(2)加载压头半径和支座表面半径如果加载压头半径很小,对试样容易引起较大的剪切力而影响弯曲强度。支座表面半径会影响试样跨度的准确性。
(3)应变速率弯曲强度与应变速率有关,应变速率较低时,其弯曲强度也偏低。
(4)试验跨度当跨厚比增大时,各种材料均显示剪切力的降低,可见用增大跨厚比可减少剪切应力,使三点弯曲试验更接近纯弯曲。
(5)温度就同一种材料来说,屈服强度受温度的影响比脆性 强度的大。现行塑料弯曲性能实验的国家标准为GB/T9341-2008。
5. 冲击强度的测定
冲击试验是用来度量材料在高速冲击状态下的韧性或对断裂的抵抗能力。

一般冲击实验采用三种方法:
(1)摆锤式:试验安放形式有简支梁式(charpy)----支撑试样两端而冲击中部;悬臂梁式(Izod)---试样一端固定而冲击自由端。
(2)落球式。
(3)高速拉伸法。此方法虽较理想,可直接转换成应力—应变曲线,计算曲线下的面积,便可得冲击强度,还可定性判断是脆性断裂还是韧性断裂,但对拉力机要求较高。
简支梁冲击试验较普遍,其原理如下图:

实验影响因素
(1)冲击过程的能量消耗
①试样发生弹性和塑性形变所需的能量。
②使试样产生裂纹和裂纹扩展断裂所需的能量。
③试样断裂扩展后飞出所需的能量。
④摆锤和支架轴、摆锤刀口和试样相互摩擦损失的能量。
⑤摆锤运动时,试验机固有的能量损失。
(2)温度和适度 材料的冲击性能测试依赖于温度。
(3)试样尺寸 使用同一配方和同一成型条件而厚度不同的材料做冲击试验时,所得的冲击强度不同。
(4)冲击速度 摆锤的冲击速度高时冲击强度的数值反而降低。
6. 蠕变与应力松弛
高分子材料具有大分子链结构和特有的热运动,决定了它具有与低分子材料不同的物理性态。高分子材料的力学行为最大特点是它具有高弹性和粘弹性。在外力和能量作用下,比金属材料更为强烈地受到温度和时间等因素的影响,其力学性能变化幅度较大。
高聚物受力产生的变形是通过调整内部分子构象实现的。由于分子链构象的改变需要时间,因而受力后除普弹性变形外,高聚物的变形强烈地与时间相关,表现为应变落后于应力。除瞬间的普弹性变形外,高聚物还有慢性的粘性流变,通常称之为粘弹性。高聚物的粘弹性又可分为静态粘弹性和动态粘弹性两类。
静态粘弹性指蠕变和松弛现象。与大多数金属材料不同,高聚物在室温下已有明显的蠕变和松弛现象。
高分子材料的蠕变即在一定温度和较小的恒定外力(拉力、压力或扭力等)作用下、高分子材料的形变随时间的增加而逐渐增大的现象。
蠕变过程及原理
下图蠕变曲线,t1是加荷时间,t2是释荷时间。从分子运动和变化的角度来看,蠕变过程包括下面三种形变:当高分子材料受到外力作用时,分子链内部键长和键角立刻发生变化,这种形变量是很小的,称为普弹形变。当分子链通过链段运动逐渐伸展发生的形变,称为高弹形变。如果分子间没有化学交联,线形高分子间会发生相对滑移,称为粘性流动。这种流动与材料的本体粘度有关。在玻璃化温度以下链段运动的松弛时间很长,分子之间的内摩擦阻力很大,主要发生普弹形变。在玻璃化温度以上,主要发生普弹形变和高弹形变。当温度升高到材料的粘流温度以上,这三种形变都比较显著。由于粘性流动是不能回复的,因此对于线形高聚物来说,当外力除去后会留下一部分不能回复的形变,称为永久形变。

线型高聚物的蠕变曲线
蠕变与温度高低和外力大小有关,温度过低,外力太小,蠕变很小而且很慢,在短时间内不易觉察;温度过高、外力过大,形变发展过快,也感觉不出蠕变现象;在适当的外力作用下,通常在高聚物的玻璃化温度以上不远,链段在外力下可以运动,但运动时受到的内摩擦力又较大,只能缓慢运动,则可观察到较明显的蠕变现象。
蠕变是材料弹性与粘性的相互作用结果,材料弹性好,其蠕变应力大,蠕变温度高,如果粘性大于弹性则反之,让我们可以把握实际可能出现的情况。所以一般来讲,特别是塑料或者压敏胶,材料加工要蠕变好(流动性好),而材料应用则需蠕变差(材料稳定,蠕变意味着材料发生变化)。蠕变涉及到材料结构、分子量、分子链等等因素。避免蠕变,就是想方法让材料稳定,如提高弹性让临界应力大,添加抗氧剂让耐老化性能好,分子结构稳定。
7. 应力松弛
所谓应力松弛,就是在固定的温度和形变下,聚合物内部的应力随时间增加而逐渐衰减的现象。这种现象也在日常生活中能观察到,例如橡胶松紧带开始使用时感觉比较紧,用过一段时间后越来越松。也就是说,实现同样的形变量,所需的力越来越少。未交联的橡胶应力松弛较快,而且应力能完全松弛到零,但交联的橡胶,不能完全松弛到零。
线形聚合物的应力松弛的分子机理如图所示,拉伸时张力迅速作用使缠绕的分子链伸长,但这种伸直的构象时不平衡的,由于热运动分子链会重新卷曲,但形变量被固定不变,于是链可能解缠结而转入新的无规卷曲的平衡态,于是应力松弛为零。交联聚合物不能解缠结,因而应力不能松弛到零。

线型聚合物应力松弛过程中的分子机理

杠杆式拉伸应力松弛仪
8. 洛氏/邵氏硬度
定义 :材料抵抗其他较硬物体压入其表面的能力。
目的 :测量材料的适用性,间接了解材料的磨擦性能、拉伸性能、固化程度等力学性能
常用的硬度测试方法 :邵氏硬度、洛氏硬度,硬度体现的是产品的坚硬程度。在施加荷重的状态下,测定坚硬的圆珠凹陷时的抗衡性的实验。如果塑料中胶含量较多的话,冲击强度将会增加,但硬度会下降。
布氏硬度
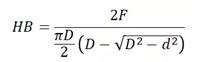
布氏硬度起源于1900年,是最早被广泛接受的测试方法。它的原理是使用球压头D通过一定的压力F在材料表面产生压痕,再用光学系统测量压痕直径d,最后通过经验公式计算可得到布氏硬度值,如图所示。

关于测试过程
①选择试验力,合适的球压头D
②必要时处理样品表面
③固定样品,使其平整,上下表面平行
④对样品表面施加力F(必须缓慢增加,且适当保持以保证塑性变形)
⑤测量施力后留下的压痕直径d
⑥计算最终布氏硬度值
计算公式如下:

关于压头材料
布氏硬度早期的压头材料为硬化钢(符号HBS),不适用于非常硬(>450HB)的材料,容易变形,最终会导致测试结果误差大。ISO和ASTM标准先后推荐使用WC(碳化钨,符号HBW)球来做所有的布氏硬度测试适用测试范围达650HB,更加耐用。
关于压痕尺寸
压痕过小,压痕难以准确的测量,并且压头损坏的风险变大;压痕过大,硬度测试的灵敏度降低。因此,标准规定了压痕尺寸的上下限,压痕直径与压头直径的比值d/D应在0.24和0.6之间。在测试过程中要注重选择合适的球压头直径和载荷大小与被测试的材料匹配。
关于压痕位置
硬度测试产生压痕的过程会引起残余应力和加工硬化,过于靠近边缘会导致材料不足以限制压痕周围的变形区,因此,若压痕位置不当,测试结果易产生能够误差。

布氏硬度压痕位置选择
关于标尺选择
布氏硬度测试要选择好标尺(载荷大小与球压头直径的组合)。通常采用压痕相似性原理来设计布氏硬度的标尺。
压痕相似性原理:对于不同的压头直径和载荷组合,当压入角相同时,材料的硬度值才具有可比性。对于相同的材料,当载荷与压头直径平方的比值(K=F/D² )相同时,压入角相同,所求得的硬度值也相同。

布氏硬度压痕相似性原理示意图
压入角28°与74°之间硬度值变化很小,44°(d/D=0.375)是最理性的状况。对同一材料而言160HBW10/500大约相当于180HBW10/3000。因此,常见的比值,不同比值下测量结果不具备可比性。如表2,HB30与HB10、HB5标尺下所得的硬度值不可以做比较。
表2.布氏硬度常见K值

K值得选择具有一定的要求,通常高硬度材料选用较大K值,低硬度材料选用较小K值。常用的K值选择如表3。
表3.K值的选择

关于最小样品厚度
布氏硬度测试过程中,试验力易引起样品的扭曲、变形和移动,导致误差的产生。因此ASTM样品厚度要达到压痕深度的10倍。不同标尺要求的样品最小厚度如表4所示。
表4.Buehler最小厚度与硬度值关系对照表

关于硬度值表示

关于测试优势与局限性
① 优势
相对较宽的测试范围8~650HBW;不同测试力之间硬度值可以对比 (对于相同的F/D2)压痕较大;对样品表面状况不敏感;测试大块材料硬度;对光学测量误差不敏感;非常适合于大晶粒材料的测试;与拉伸强度之间有较好的对应关系。
② 局限性
大的压痕意味着不能区分出局部区域的硬度值变化;不适合于涂层和薄片样品的测试;不适合于高硬度材料的硬度测试;通过光学显微镜测量压痕,不同操作者对测量的影响较大;不建议测试弧形表面。
关于应用
适用于铸铁、锻造件、各种退火及调质的钢材,有色金属、硬质合金、陶瓷、不锈钢等,广泛应用在汽车和航空等行业,试验室和车间的样品测试和质量控制。可测平面和圆柱形工件,不宜测定太硬、太小、太薄和表面不允许有较大压痕的试样或工件。
洛氏硬度
洛氏硬度起源于20世纪初,是由洛克威尔(S.P.Rockwell)提出来的学术概念。洛氏硬度测试的原理是以压痕塑性变形深度来确定硬度值。

洛氏硬度原理图
(1-1加上初始试验力后的压头位置;
2-2加上初始试验力+主试验力后的压头位置;
3-3卸去主试验力后的压头位置;
he卸去主试验力的弹性恢复)
关于测试过程
根据材料选择一定的标尺(HRA、HRB、HRC等)
适当处理材料表面
对材料表面施加初始试验力,得压痕深度h1
对材料表面施加主试验力
卸掉主试验力,得压痕深度h2
计算深度差h=h2-h1,并由公式算出洛氏硬度值
关于试样处理
采用洛氏硬度测试方法时,需要根据不同的标尺和样品情况来对试样表面进行处理。
常规洛氏:细磨光表面就可以达到要求
表面洛氏:推荐抛光表面(≤3um)
关于压头类型

关于压痕位置
与洛氏硬度相同,压痕距离边缘至少为压痕直径的2.5倍(并且ISO6508规定距离边缘不小于1mm),两压痕之间的距离至少为压痕直径的3倍。

关于样品厚度
洛氏硬度测试对样品尺寸有要求,样品厚度不能小于残余压痕深度的10倍,且背面不能出现明显的变形痕迹。由此样品的厚度决定了载荷的选择,载荷必须保证其所引起的变形小于样品的最小厚度。对于每一种硬度试验,都存在最小可测量厚度。根据不同压头类型,分别为:
使用金刚石压头时,样品最小厚度为压痕深度的10倍
样品最小厚度对球压头,至少为压痕深度的15倍
关于硬度值表示

关于主要误差来源
压头尖端破裂(通常导致硬度读数偏高);被测试材料或者夹具轨道的变形(通常导致硬度读数偏低);过大的振动(通常导致硬度读数偏低);表面制备质量差(注意制备也包括测试零件的底部和试台);压头和样品表面的压入角度(不能超过2o偏差)
关于测试优势与局限性
优势:
不需要通过光学测量就可以得到硬度值;快速简单;不同操作者对结果影响不大;表面粗糙度对结果影响较小。
局限性:
标尺太多,不同的压头和试验力的组合。
关于应用
洛氏硬度测试具有30种不同的标尺,几乎覆盖所有材料的硬度测试,以下是其一些典型的应用:
常规洛氏:端淬试验、齿轮、钢棒、紧固件、汽车部件、轴承、热处理工件、硬质合金等。
表面洛氏:薄钢板、线、小直径棒、镀锡钢片、涂层、硬化层。
部分素材来源于网络
- End -
