12.30阅读论文笔记:Physics-Informed Neural Networks for Power Systems
Physics-Informed Neural Networks for Power Systems
George S. Misyris, Andreas Venzke and Spyros Chatzivasileiadis
Physics Informed Neural Networks:
- 自动微分:神经网络输出相对于输入的导数可以在训练过程中计算
- 物理系统的微分代数模型可以包含在神经网络训练中
- 神经网络现在可以利用实际物理系统的知识
- 像Tensorflow这样的机器学习平台能够实现这些功能
主要工作:
1)提出了物理信息神经网络
(i)准确地确定微分方程的解,从而确定电力系统的动态值,如转子角度和频率
(ii)识别不确定的电力系统参数。与之前的方法相反,物理信息神经网络利用了底层的物理模型,从而显著减少了计算时间,并需要更少的训练数据。
2)对于单机无限总线(SMIB)系统,我们表明,物理信息神经网络
(i)预测系统动力学具有较高的精度,且比传统方法所需的计算时间小很多(在我们的研究中是28-87倍)
(2)能够高精度地识别惯性、阻尼等不确定系统参数。
第二部分描述了所采用的电力系统模型,并介绍了基于物理信息的神经网络的体系结构。
第三节给出了模拟结果,演示了物理信息神经网络的性能。
第四节讨论了成功应用这一概念所带来的挑战和机遇。第五部分是结论。
II. METHODOLOGY
A. 电力系统动力学的物理模型
电力系统动力学最简单和最常见的描述形式是摆动方程:

-
Single Machine Infinite Bus (SMIB) System


B. Physics-Informed Neural Networks
如果不考虑底层的物理模型,将需要大量的训练数据且神经网络规模很大。在训练过程中考虑物理规律,可以限制神经网络参数的容许解空间,这意味着在训练数据量和神经网络规模方面的要求都较低。根据类似于**参考[10](重要)一篇讲Physics Informed Neural Networks论文的**的表示法,具有物理信息的神经网络可以近似的函数的一般形式为:

为了加强描述动力系统的物理定律,定义基于物理的神经网络f (t, x):

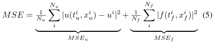
同时优化f(t,x)和u(t,x),给定一个训练数据集和已知的系统参数λ,我们寻求找到最小化以下损失函数的神经网络的参数(权值和偏差):

误差MSEu强化了自变量x的边界条件,而MSEf强化了由条件(3)施加的动力系统的物理特性,即它惩罚了预测物理规律的偏差。 -
Physics-informed neural networks capturing power system dynamics
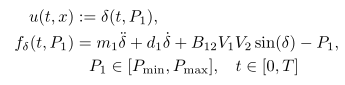
介绍如何利用基于物理信息的神经网络,在任意时刻t和机械功率P1范围内,推导出摆动方程(2)的δ和ω =δ导。
假设系统参数λ:= {m1, d1, B12}已知,电压V1和V2是固定的。因此,系统输入被定义为x:= {P1}。传统的数值求解方法需要将高阶常微分方程(ODEs)转换为一阶来求解(通过引入额外的变量),与之相反,物理信息神经网络可以直接将高阶常微分方程合并。将(2)合并到神经网络中,函数(4)变为:

-
Data-driven discovery of inertia and damping coefficients
当电力系统的惯性水平变得不确定,必须在定期的时间间隔进行估计。物理信息神经网络可以用于解决系统识别和偏微分方程的数据驱动发现的问题。对于这种情况,我们将m1和d1定义为(7)中的未知参数。物理信息神经网络的结构保持不变,唯一的区别是,在神经网络训练期间最小化(5)时,系统参数λ的子集现在被视为附加变量
III. SIMULATION & RESULTS
A. Simulation setup
第一个例子中,假设系统惯性和阻尼是已知的,并且系统不是处于平衡状态。
第二个例子中,假设系统惯性和阻尼也变成了未知的,目标是确定(7)的参数m1和d1,并且获得δ的轨迹。考虑到惯性和阻尼水平的变化,给m1和d1赋了10个不同的值,分别在[0.1,0.4]和[0.05,0.15]的范围内。
B. Data-driven solution of frequency dynamics through physics-informed neural networks
以下参数选择获得最低的L2误差测试数据:选择一组在整个时空领域随机分布的初始和边界数据Nu= 40,搭配Nf = 8‘000。与传统的神经网络方法相比,我们只需要非常少量的样本(Nu = 40)。在我们的模拟中,增加Nu会导致训练数据的过度拟合。
C. Data-driven discovery of inertia and damping coefficients through physics-informed neural networks
在本案例研究中,我们假设m1和d1是未知的,相反,我们有一组有限的训练数据点{t, P1,δ}。与通常首先训练一个神经网络然后使用的做法相反,我们在这里的目的是利用基于物理的神经网络训练程序来确定m1和d1。
IV. DISCUSSION AND OUTLOOK
本工作首次在电力系统中引入神经网络训练程序,明确地考虑描述电力系统行为的基本微分和代数方程。
未解决问题:
a)训练数据数量 :除了训练数据数量有限外,本文描述的物理信息神经网络还需要生成大量的搭配点。在我们的案例研究中,我们使用Nu = 40个点作为输入数据,Nf = 80000个搭配点。预计对于更大的系统,需要更多的配置点,这将导致更长的训练时间。在我们未来的工作中,我们计划研究使用Runge-Kutte积分方案的方法,如[10]中提出的那些可以消除配置点需求的方法。
b)可扩展性: 虽然摆动方程是一个很好的首次摆动不稳定性的近似,而且单机无限总线系统仍被用作大型电力系统的聚合模型,如果我们要在大规模电力系统中应用这些方法,我们仍然需要探索哪些计算需求,以及如何解决与神经网络训练相关的挑战。特别是,与数值求解器和多项式拟合等近似技术的比较将作为一个基准。
c)应用范围: 未来的应用还必须评估包括稳定和不稳定平衡的情况,各种不同的动态现象,包括小信号稳定性、电压稳定性和变换器动态[18],离散事件,如保护动作,以及电力系统优化等。本文研究的a single stable swing prediction,但对于不同的状态,如多个振荡或不稳定条件,可能需要训练不同的物理信息神经网络。我们还需要检查这种神经网络是否能够捕获离散事件,例如保护动作,或者我们是否需要开发一种混合方法,只在离散事件前后的连续动态中使用具有物理信息的神经网络作为数值求解器。对于power system,基于物理的神经网络可以(也应该)与神经网络验证方法相结合,参见[19]。这样,它们就不再被认为是一个黑盒,相反,我们将能够为它们的行为提取正式的保证
贡献:
-减少对离散或不完整数据的依赖
-大幅减少计算时间
-有潜力取代传统的微分代数解算器
一篇很通俗易懂的讲神经网络的知乎文章:[《神经网络15分钟入门!足够通俗易懂了吧]》(https://zhuanlan.zhihu.com/p/65472471)
