数字信号处理C语言——离散傅里叶变换DFT/离散傅里叶反变换IDFT
发布时间
阅读量:
阅读量
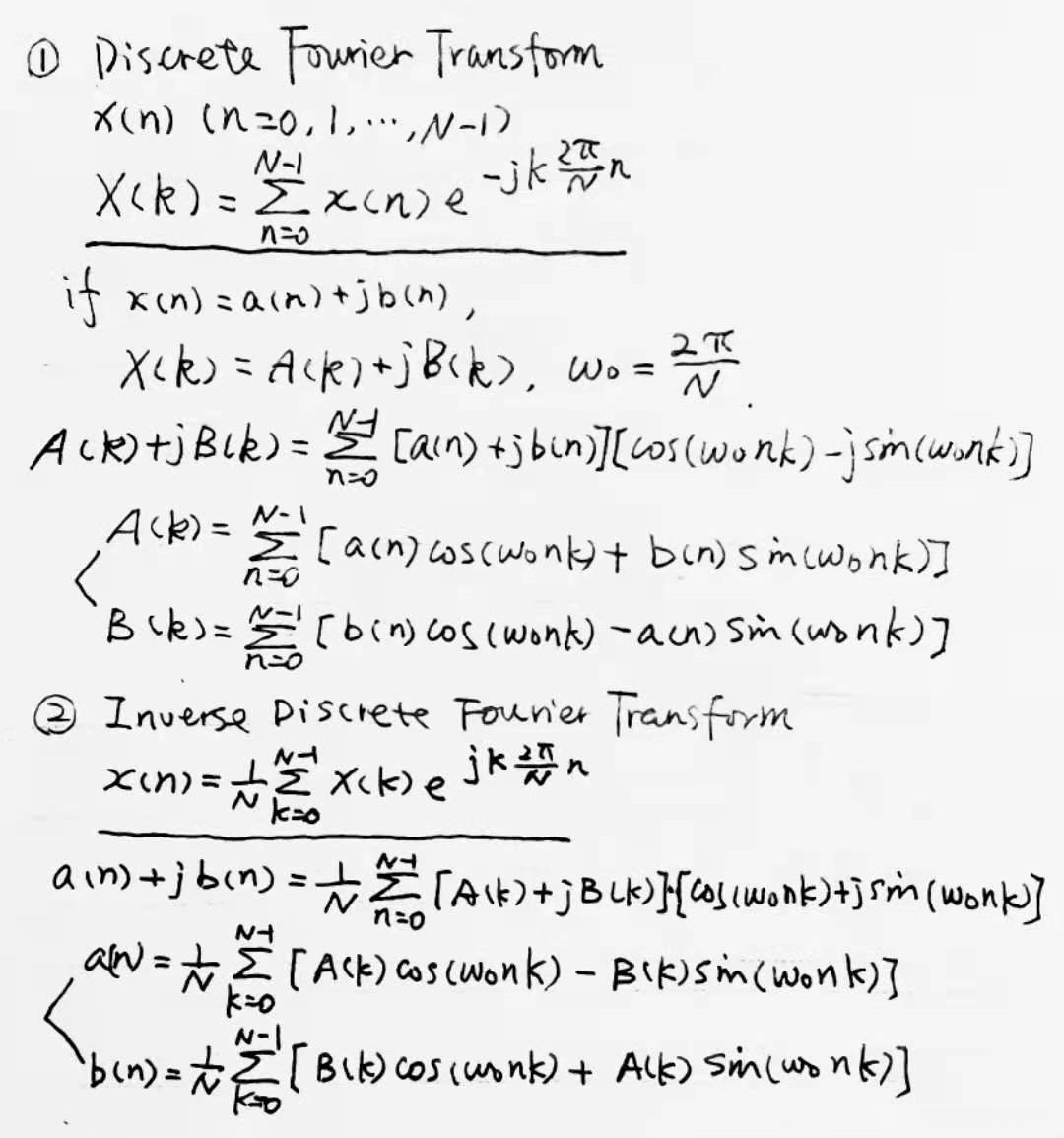
离散傅里叶变换
离散傅里叶反变换

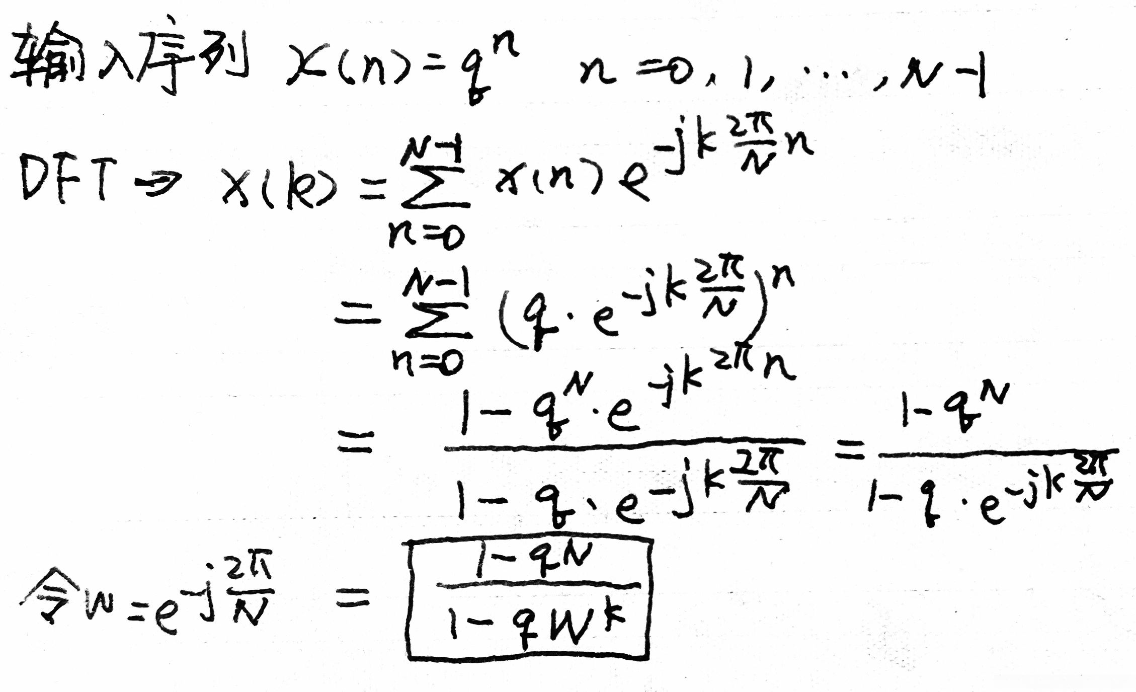
傅里叶变换理论值过程

dft.c
#include "math.h"
double dft(a,b,A,B,N)
int N;
double a[],b[],A[],B[];
{
double PI=acos(-1.0);
int n,k;
double c,d,w0,w,s;
w0=2*PI/N;
for(k=0;k<N;k++){
w=k*w0;
A[k]=B[k]=0.0;
for(n=0;n<N;n++){
d=n*w;
c=cos(d);
s=sin(d);
A[k]+=c*a[n]+s*b[n];
B[k]+=c*b[n]-s*a[n];
}
}
return PI;
}
idft.c
#include "math.h"
void idft(A,B,a,b,N)
int N;
double A[],B[],a[],b[];
{
double PI=acos(-1.0);
int n,k;
double c,d,w0,w,s;
w0=2*PI/N;
for(n=0;n<N;n++){
w=n*w0;
a[n]=b[n]=0.0;
for(k=0;k<N;k++){
d=k*w;
c=cos(d);
s=sin(d);
a[n]+=(c*A[k]-s*B[k])/N;
b[n]+=(c*B[k]+s*A[k])/N;
}
}
return PI;
}

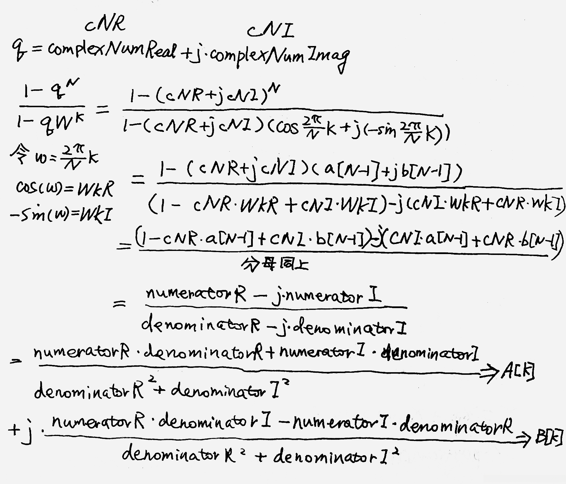
其中q=complexNumReal+j*complexNumImaginary
输出x[n],傅里叶变换实际值,理论值,并且将理论值反变换
main.c
#include "stdio.h"
#include "math.h"
#include "dft.c"
#include "idft.c"
main(){
int i,j,N;
printf("N=");
scanf("%d",&N);
double cNR,cNI;//complexNumReal,complexNumImaginary
double a[N],b[N],A[N],B[N];
printf("complexNumReal=");
scanf("%lf",&cNR);
printf("complexNumImaginary=");
scanf("%lf",&cNI);
a[0]=1.0;
b[0]=0.0;
for(i=1;i<N;i++){
a[i]=cNR*a[i-1]-cNI*b[i-1];
b[i]=cNI*a[i-1]+cNR*b[i-1];
}
printf("----Original Sequence----\n");
for(i=0;i<N/2;i++){
for(j=0;j<2;j++)
printf("|%d:\t%10.6f + j%10.6f|\t",2*i+j+1,a[2*i+j],b[2*i+j]);
printf("\n");
}
double PI=dft(a,b,A,B,N);
printf("----Discrete Fourier Transform----\n");
for(i=0;i<N/2;i++){
for(j=0;j<2;j++)
printf("|%d:\t%10.6f + j%10.6f |\t",2*i+j+1,A[2*i+j],B[2*i+j]);
printf("\n");
}
double nR,nI;//numeratorR,numeratorI
double dR,dI;//denominatorR,denominatorI
double w,WkR,WkI;
printf("----Theoretical Discrete Fourier Transform----\n");
for(int k=0;k<N;k++){
w=(2*PI/N)*k; //W^k=e^-j*k*(2*PI/N)=cos(w)+j*(-1)*sin(w)
WkR=cos(w);
WkI=(-1)*sin(w);
nR=1-cNR*a[N-1]+cNI*b[N-1];
nI=cNI*a[N-1]+cNR*b[N-1];
dR=1-cNR*WkR+cNI*WkI;
dI=cNI*WkR+cNR*WkI;
A[k]=(nR*dR+nI*dI)/(pow(dR,2)+pow(dI,2));
B[k]=(nR*dI-nI*dR)/(pow(dR,2)+pow(dI,2));
}
for(i=0;i<N/2;i++){
for(j=0;j<2;j++)
printf("|%d:\t%10.6f + j%10.6f |\t",2*i+j+1,A[2*i+j],B[2*i+j]);
printf("\n");
}
idft(A,B,a,b,N);
printf("****Inverse Discrete Fourier Transform****\n");
for(i=0;i<N/2;i++){
for(j=0;j<2;j++)
printf("|%d:\t%10.6f + j%10.6f |\t",2*i+j+1,a[2*i+j],b[2*i+j]);
printf("\n");
}
}
全部评论 (0)
还没有任何评论哟~
