机器学习距离计算
发布时间
阅读量:
阅读量
1.闵可夫斯基距离 (Minkowski Distance)
设有两个n维向量A(x1,x2,x3,….xn)和B(y1,y2,y3,….yn)间的闵可夫斯基距离定义为:

其中参数p被定义为一个数值变量。
若取值为1,则应用曼哈顿距离计算方式;
若取值为2,则采用欧几里得距离公式;
当指数趋向于无限大时,则采用切比雪夫范数来衡量空间中的点间距。
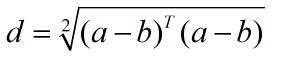
2.欧式距离 (Euclidean Distance)
**

**
欧几里得距离因其广泛的适用性和直观性而成为最常用的几何度量工具,在计算不同点之间的间距时展现出显著的优势
3.曼哈顿距离 (Manhattan Distance)
**

**
类似于在曼哈顿街景中计算空间关系时... 欧氏几何中的两点间最短路径即为欧几里得度量... 而曼哈顿度量则为沿网格路径行进的距离总和
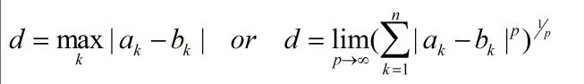
4.切比雪夫距离 (Chebyshew Distance)
**

**
该算法表示,在多维空间内计算两个点之间的最短路径的距离。
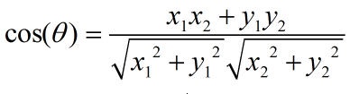
5.夹角余弦 (Cosine

6.汉明距离 (Hamming Distance)
两个长度相同的字符串S₁与S₂之间的距离被定义为其转换所需的替换字符数量。例如,在将字符串'₁₁₁₁'转换为'₁₁₀₁'的过程中需要替换一个字符,在这种情况下汉明距离等于零。
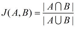
7.杰卡德相似系数 (Jaccard Similarity Coefficient)
两个集合A与B的共同元素在它们相同元素中的比率定义为两个集合之间的杰卡德相似系数。

杰卡德相似系数被视为评估两个集合之间相似程度的一种度量工具。
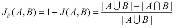
杰卡德距离:其定义为与杰卡德相似系数相对应的测量方法。

8. 信息熵Information entropy
信息熵仅能作为样本分类的信息度量工具,在经过对样本进行处理后其分类信息会发生变化。因此,在评估不同决策准则时不仅可用于衡量处理前后的分类信息差异程度还可以用来评估不同处理策略的效果。

**** 参考博客:http://wustchuichui.github.io/2016/04/08/mapython-distance/
全部评论 (0)
还没有任何评论哟~
