Tightly Coupled LiDAR Inertial Odometry and Mapping源码解析(二)
Tightly Coupled LiDAR Inertial Odometry and Mapping源码解析(二)
- 3. Joint optimization
-
- 3.1 Marginalization
-
- 3.1.1 什么是Marginalization
- 3.1.2 Basics of Multi-variate Gauss Distribution
- 3.1.3 Marginalization in covariance and information form
- 3.1.4 Schur Complement
3. Joint optimization
在上一个博客中,我们分别介绍了IMU预积分,LiDAR Relative Measurements,接下来就是非常重要优化环节了,优化过后才可以获得里程计计算结果。在这篇论文中,优化的目标函数主要由三部分构成:marginalization factor , imu-preintegration ,以及LiDAR relative measurements ,我们首先来看第一个marginalization factor 。
3.1 Marginalization
3.1.1 什么是Marginalization
在上一博客中,我们已经知道该篇论文中引入了一个滑窗(Sliding Window),来限制待优化的状态向量数量。如下图所示,我们考虑这样一种情景,假设当前时刻窗口内的优化变量为x_1,x_2,...,x_6,且已经对里程计中的目标函数完成了优化,也就是相当于拟合出来了一个概率分布p(x_1,x_2,...,x_6),即多维高斯分布对应的均值\mu和协方差矩阵K。此时在下一个优化时刻到来之前,我们需要将窗口往后移动一个格子,即开始优化此时窗口内的优化变量x_2,x_3,...,x_7,这种过程会贯穿整个估计过程,直至算法停止。那么一个明显的问题是,我们在优化拟合出来p(x_2,x_3,...,x_7)之前,该怎样处理概率分布p(x_1,x_2,...,x_6)呢?

为了更形象的说明这个问题,我们来假设这样一种情景。小明开车想从中国科学技术大学到之心城买件衣服,怕迷路,想时刻估计一下自己到哪了,因此搞了个滑窗,利用gps,轮速计来分析自己当前和过往几个时刻自己开车到哪了。通过各种融合算法,发现自己x_1,x_2,...,x_6时的位置分布为p(x_1,x_2,...,x_6)发现自己原来刚出东门。然后接着往前开啊,现在滑窗内的状态就是x_2,x_3,...,x_7了。那么如何估计我x_2,x_3,...,x_7时刻的位置呢?
一种方法就是继续像上一时刻那样用自身的gps和轮速计等融合p(x_2,x_3,...,x_7),也就是说我才不管你x_1,x_2,x_3,...,x_6时在哪,我只关心p(x_2,x_3,...,x_7),计算完发现我去怎么还在东门附近?不是刚路过了吗?是不是算错了?
这时,聪明的副驾驶提醒你,哎这孩子读书读傻了,笨不笨,明明(x_1,x_2,...,x_6)时刻都到p(x_1,x_2,...,x_6)了,你咋还给忘了?你这不是黑瞎子掰玉米掰一个扔一个 吗?把p(x_2,...,x_6)也就是我们刚刚路过东门这个消息加到你的那个什么融合算法 里,再算一算我们现在到哪了?小明这才计算出来原来已经到东门前的十字路口了。
这个例子说明,在更新计算p(x_2,x_3,...,x_7)时,总共有两种方法,第一种是直接丢掉之前窗口内拟合的分布p(x_1,x_2,...,x_6),重新计算估计p(x_2,x_3,...,x_7)。但是这种方法有一个比较重要的缺陷就是信息损失 ,可能p(x_2,x_3,...,x_6)内的估计非常准确,而你却把这么重要的信息给直接扔了,这不是败家吗你说?第二种方法就是将p(x_1,x_2,...,x_6)中的p(x_2,x_3,...,x_6)计算出来,并将p(x_2,x_3,...,x_6)作为先验信息加入到新窗口的估计中。那么问题来了,怎样根据p(x_1,x_2,...,x_6)计算p(x_2,x_3,...,x_6)呢?这个过程就叫做Marginalization 。下图能比较清晰严谨的说明这个问题,数理基础比较好的话也能想到我们好像学过这个公式:p(x_a)=\int_{x_b}p(x_a,x_b)。接下来我们从数学的角度严谨的说明一下Marginalization 。

3.1.2 Basics of Multi-variate Gauss Distribution
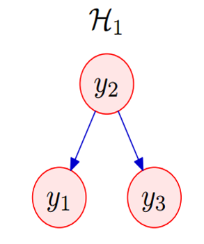
如下图所示,假设有一个系统长这个样子,其中y_2表示的是室外的温度,y_1表示的是房间1的温度,y_3表示的是房间3的温度,且他们之间的函数关系表示为:

\begin{cases} y_2=v_2\\ y_1=w_1y_2+v_1\\ y_3=w_3y_2+v_3\\ v_i-N(0,\sigma_i^2),高斯噪声 \end{cases}
则状态向量y=[y_1,y_2,y_3]^T对应的协防差矩阵K为:
K_{11}=E(y_1y_1)=w_1^2\sigma_2^2+\sigma_1^2,K_{22}=E(y_2y_2)=\sigma_2^2,K_{33}=E(y_3y_3)=w_3^2\sigma_2^2+\sigma_3^2 \\ K_{12}=K_{21}=E(y_1y_2)=w_1^2\sigma_2^2,K_{13}=K_{31}=w_1w_3\sigma_2^2,K_{23}=K_{32}=w_3\sigma_2^2
即:
K= \left( \begin{matrix} w_1^2\sigma_2^2+\sigma_1^2 & w_1\sigma_2^2 & w_1w_3\sigma_2^2\\ w_1\sigma_2^2 & \sigma_2^2 & w_3\sigma_2^2\\ w_1w_3\sigma_2^2 & w_3\sigma_2^2 & w_3^2\sigma_2^2+\sigma_3^2 \end{matrix} \right)
现在知道了该向量对应的协方差矩阵,只需要求解其逆矩阵就可以得到信息矩阵。不过直接求解其逆矩阵还是比较麻烦的,因此我们按照如下的方法求解。我们首先需要求解对应的联合概率分布,则根据贝叶斯公式可以得到:
p(y_1,y_2,y_3)=p(y_1,y_3|y_2)p(y_2)=p(y_1|y_3,y_2)p(y_3|y_2)p(y_2)
而由前面之间的关系我们知道,y_1是不依赖于y_3的,因此p(y_1|y_3,y_2)=p(y_1|y_2),因此上式可以化简为:
p(y_1,y_2,y_3)=p(y_1|y_2)p(y_3|y_2)p(y_2)
p(y_2)=\frac{1}{Z_2}e^{-\frac{y_2^2}{2\sigma_2^2}}
p(y_1|y_2)=\frac{1}{Z_1}e^{-\frac{(y_1-w_1y_2)^2}{2\sigma_1^2}}
p(y_3|y_2)=\frac{1}{Z_3}e^{-\frac{(y_3-w_3y_2)^2}{2\sigma_3^2}}
p(y_1,y_2,y_3)=\frac{1}{Z'}exp(-\frac{1}{2}(\frac{y_2^2}{\sigma_2^2}+\frac{(y_1-w_1y_2)^2}{\sigma_1^2}+\frac{(y_3-w_3y_2)^2}{\sigma_3^2}))
写成信息矩阵的形式既可以写为:
p(y_1,y_2,y_3)=\frac{1}{Z'}exp(-\frac{1}{2}\left[\begin{matrix}y_1 & y_2 & y_3\end{matrix}\right]\left[\begin{matrix}\frac{1}{\sigma_1^2} & -\frac{w_1}{\sigma_1^2} & 0\\ -\frac{w_1}{\sigma_1^2} & \frac{1}{\sigma_2^2}+\frac{w_1^2}{\sigma_1^2}+\frac{w_3^2}{\sigma_3^2} & -\frac{w_3}{\sigma_3^2}\\ 0 & -\frac{w_3}{\sigma_3^2} & \frac{1}{\sigma_3^2}\end{matrix}\right]\left[\begin{matrix}y_1 \\ y_2\\ y_3\end{matrix}\right])
\Omega=\left[\begin{matrix}\frac{1}{\sigma_1^2} & -\frac{w_1}{\sigma_1^2} & 0\\ -\frac{w_1}{\sigma_1^2} & \frac{1}{\sigma_2^2}+\frac{w_1^2}{\sigma_1^2}+\frac{w_3^2}{\sigma_3^2} & -\frac{w_3}{\sigma_3^2}\\ 0 & -\frac{w_3}{\sigma_3^2} & \frac{1}{\sigma_3^2}\end{matrix}\right]
3.1.3 Marginalization in covariance and information form
对于3.1.2中的系统,现在我们想marginalize out状态变量y_3,也就是说现在的状态向量变为y‘=[y_1,y_2]^T,则该状态向量对应的协方差矩阵为:
K'=\left[ \begin{matrix} w_1^2\sigma_2^2+\sigma_1^2 & w_1\sigma_2^2\\ w_1\sigma_2^2 & \sigma_2^2 \end{matrix} \right]
从K'和K的对比中我们可以发现,在marginalize out y_3后,新的状态变量对应的协方差矩阵K'不过是将原来的协方差矩阵K的第3行和第3列删掉,那么信息矩阵是不是也是这样呢?我们一起来推导一下。
p(y_1,y_2)=p(y_1|y_2)p(y_2)=\frac{1}{Z'}exp(-\frac{1}{2}(\frac{y_2^2}{\sigma_2^2}+\frac{(y_1-w_1y_2)^2}{\sigma_1^2}))\\ =\frac{1}{Z'}exp(-\frac{1}{2}\left[ \begin{matrix}y_1 & y_2\end{matrix} \right]\left[ \begin{matrix} \frac{1}{\sigma_1^2} & -\frac{w_1}{\sigma_1^2}\\ -\frac{w_1}{\sigma_1^2} & \frac{1}{\sigma_2^2}+\frac{w_1^2}{\sigma_1^2} \end{matrix} \right]\left[ \begin{matrix}y_1 \\ y_2\end{matrix} \right])
也就是说:
\Omega'=\left[ \begin{matrix} \frac{1}{\sigma_1^2} & -\frac{w_1}{\sigma_1^2}\\ -\frac{w_1}{\sigma_1^2} & \frac{1}{\sigma_2^2}+\frac{w_1^2}{\sigma_1^2} \end{matrix} \right]
发现,咦,信息矩阵好像不像协方差矩阵那样直接把y_3对应的第3行和第3列去掉就可以了。也就是说对于一般情况来讲,假如一个状态向量为x=[a^T,b^T]^T,如果我们想marginalize out状态向量b,那么对于协方差矩阵仅需要将状态向量b对应的行和列删除就可以。可是信息矩阵不行啊,这怎么办呢?这时候就需要Schur Complement 了。skir~~ skir~~

3.1.4 Schur Complement
为不失一般性,咱这次就不拿前两节中那个温度模型说事儿了。现在假设状态变量为x=[a^T,b^T]^T,其对应的协防差矩阵为:
K=\left[ \begin{matrix} A & C^T\\ C & D \end{matrix} \right]
其中,A和D为可逆方阵。
记其信息矩阵为\Lambda:
\Lambda = \left[ \begin{matrix} \Lambda_{aa} & \Lambda_{ab}\\ \Lambda_{ba} & \Lambda_{bb} \end{matrix} \right]
假设状态变量x满足多维高斯分布,则有下式:
p(x)=p_0exp(-\frac{1}{2}E)
\begin{matrix} E =\left[x_a^T,x_b^T\right]\Lambda\left[\begin{matrix}x_a\\ x_b\end{matrix}\right]\\ = \left[x_a^T,x_b^T\right]\left[\begin{matrix}\Lambda_{aa}&\Lambda_{ab}\\ \Lambda_{ba}&\Lambda_{bb}\end{matrix}\right]\left[\begin{matrix}x_a\\ x_b\end{matrix}\right] \end{matrix}
将上式打开就可以得到下式:
E=x_a^T\Lambda_{aa}x_a+2x_b^T\Lambda_{ba}x_a+x_b^T\Lambda_{bb}x_b
容易发现上式就是一个二次型,比较遗憾的是存在一个x_b和x_a的交叉项。为了分离变量,就需要用到我们线性代数中学过的配方法求标准二次型问题了。考虑到这个东西可能离大家比较久远,我们首先来简单回顾一下这种方法,简单来说就比如说一个函数Q(x_1,x_2)=x_1^2+x_2^2+3x_1x_2,写成矩阵的形式就是:
Q(x_1,x_2)=\left[x_1,x_2\right]\left[\begin{matrix}1&3\\ 0&1\end{matrix}\right]\left[\begin{matrix}x_1\\ x_2\end{matrix}\right]
我们说这个东西不是标准二次型就是因为中间的矩阵不是对角阵,右上角有一个比较烦人的数字3.那么怎么能把这个3搞没呢,这里就可以无脑用配方法啦。可以把Q函数改写成:
Q(x_1,x_2)=(x_1+\frac{3}{2}x_2)^2-\frac{5}{4}x_2^2
如果另y_1=x_1+1.5\times x_2,y_2=x_2,然后上式就可以改写成:Q(y_1,y_2)=y_1^2-1.25y_2^2,也就是标准二次型的形式。
按照这种方法我们对E进行标准化则可以得到:
E=(x_b+\Lambda_{bb}^{-1}\Lambda_{ba}x_a)^T\Lambda_{bb}(x_b+\Lambda_{bb}^{-1}\Lambda_{ba}x_a)+x_a^T(\Lambda_{aa}-\Lambda_{ba}^T\Lambda_{bb}^{-1}\Lambda_{ba})x_a
所谓的\Lambda_{aa}-\Lambda_{ba}^T\Lambda_{bb}^{-1}\Lambda_{ba},也就是我们经常在论文里面看到的Schur Complements了,将会给基于信心矩阵的边缘化带来极大方便。对化简后的概率分布求积分p(x_a)=\int p(x_a,x_b)dx_b就可以得到去掉x_b后的边缘分布啦,其信息矩阵就是这个schur complement。关于这部分的详细推导建议大家看这篇论文里面的定理1:
Manipulating the Multivariate Gaussian Density。
好了这篇博客就先到这里了,我们下篇博客见。
