关于cross-domain recommendation的论文阅读笔记
阅读笔记,持续更新…
1、只用到了rating matrix进行建模
《DARec: Deep DomainAdaptation for Cross-Domain Recommendation via Transferring Rating Patterns》

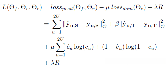
user/item的representation从AutoEncoder中得到(AutoEncoder的缺点是,当数据量非常稀疏的时候,得到的隐向量并不好),然后source和target domain上的预测同时进行,并在预测的同时进行domain的预测。

损失函数中可以看到,就是同时对两个domain上的得分的预测。R表示rating pattern extractor、rating predictor、domain classifier这三个网路上的参数的正则化。
【使用条件:source和target上的user是完全重叠的】
《multi-domain collaborate filtering》
利用多领域上的rating matrix,解决数据稀疏问题。通过寻找不同domain上的相关性来进行建模。
Specifically, we propose a probabilistic framework which uses probabilistic matrix factorization (PMF) to model the rating prediction problem in each domain and allows the knowledge to be adaptively transferred across different domains by automatically learning the correlation between domains. We also introduce the link function for different domains to correct their biases.
没有深度模型,直接用协同过滤的方式,同时训练多个domain上的user/item隐向量。
2、用到item content和rating matrix一起建模
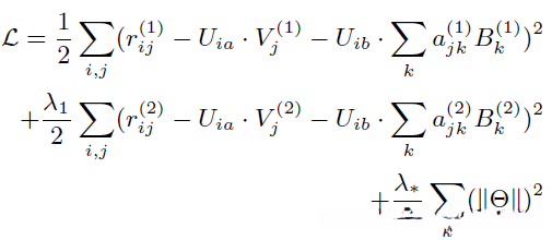
《CCCFNet: A Content-Boosted Collaborative Filtering Neural Network for Cross Domain Recommender Systems》

用item content的一些属性特征一起构建隐向量。
用户user i的隐向量由rating matrix矩阵分解得到的隐向量Uia和用户对item属性偏好embedding得到的隐向量Uib共同构成
商品item j的隐向量由rating matrix矩阵分解得到的隐向量Vj和item属性embedding得到的隐向量Pj共同构成
对于最后的预测值为 yij = Uia·Vj + Uib·Pj

【两个domain同时建模,user上矩阵分解得到的隐向量在两个domain上是共享的】
(我的理解:在target domain上直接用矩阵分解的时候,cold start user或item的隐向量Uia/Vj元素值都为0,而这些用户在source domain上的行为信息来弥补Uid值全为0时无法预测的问题)
3、
《Cross-domain Recommendation via Deep Domain Adaptation》
A naive approach to overcome this difficulty would be profile-based recommendations in which domain-independent features, such as gender or occupation, are used to obtain user representations shared across domains. While this approach allows the application of single-domain methods, such features are often hard to obtain as users often hesitate to reveal their profiles due to privacy
concerns. Therefore, without such features, we need to represent users by their consumption patterns, with which we can utilize the labeled data in a source domain to learn the relation between users and items.
