联邦学习论文阅读:Federated collaborative filtering
发布时间
阅读量:
阅读量
本文提出了一种将隐式反馈协同过滤模型转换为联邦学习框架的方法,使用Fed-Avg算法来保证隐私。该方法在保护用户隐私的同时利用隐式反馈进行推荐,但整体创新性不足。框架与Google的相关研究相似,模型采用矩阵分解方法,通过置信度值衡量用户偏好,并使用特定损失函数进行优化。用户可以在本地计算梯度,而服务器处理另一部分梯度计算。
自今年一月起,该研究团队已将该文章上传至arXiv,该文章基于联邦协同过滤算法,旨在保护用户隐私,构建一个个性化推荐系统。
摘要
问题
在保护用户隐私的情况下利用隐性反馈进行推荐
框架

一个横向联邦的框架,和google那篇是一模一样的。
模型
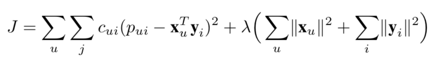
CF模型属于一种传统的矩阵分解方法,它通过两个向量X和Y来表示用户u和物品i之间的关系。在推荐系统中,我们通常用{r_{ui}}来表示用户u对物品i的隐式反馈次数,例如用户访问或交互的次数等。而{p_{ui}}则表示用户u对物品i的偏好程度,当且仅当{r_{ui} > 0}时,{p_{ui} = 1},否则为0。然而,仅凭隐式反馈来判断用户偏好并不准确,因为例如顾客购买了一次某商品,并不能说明顾客一定喜欢该商品,可能对商品不满意,或者将其赠送给他人使用。因此,引入一个置信度{c_{ui} = 1+ \alpha \cdot r_{ui}}来进一步评估用户的偏好程度,其中隐式反馈次数越多,用户被评估为喜欢该商品的可能性就越高。
损失函数为

需要计算的更新梯度为


用户可以在完成第一项计算。在第二项的第一个子任务中,用户需要先完成本地计算,随后将结果上传至服务器进行后续处理。
全部评论 (0)
还没有任何评论哟~
