引导图滤波(Guided Image Filtering)原理以及OpenCV实现
引导图滤波器是一种自适应权重滤波器,能够在平滑图像的同时起到保持边界的作用,具体公式推导请查阅原文献《Guided Image Filtering》以及matlab源码:http://kaiminghe.com/eccv10/index.html。这里只说一下自适应权重原理、C++实现灰度图像以及彩色图像的引导图滤波、验证结果。
- 自适应权重原理
引导图滤波作为一种线性滤波器,可以简单定义为如下形式:

其中I是引导图像(guided Image),P是输入的待滤波图像,Q是滤波后的输出图像,W是根据引导图I确定的权重值。权重值W可以用下式表示(原文献有详细推导):

μk是窗口内像素点的均值,Ii和Ij指相邻两个像素点的值,σk代表窗口内像素点的方差,ε是一个惩罚值。自适应权重可以根据上式分析得到:Ii和Ij在边界两侧时,(Ii-μk)和(Ij-μk)异号,否则,则同号。而异号时的权重值将远远小于同号时的权重值,这样处于平坦区域的像素则会被加以较大的权重,平滑效果效果更明显,而处于边界两侧的像素则会被加以较小的权重,平滑效果较弱,能够起到保持边界的效果。
惩罚值ε对滤波效果影响也很大,当ε值很小时,滤波如前面所述;当ε值很大时,权重的计算公式将近似为一个均值滤波器,平滑效果会更明显。

同样也可以根据线性滤波公式来看引导图滤波的自适应权重原理,局部线性滤波模型公式如下:


I指引导图像,Q是输出图像,ak和bk两个系数根据引导图I和输入图像P共同决定。将上式两边求梯度,可以得到▽q=a*▽I,即输出图像的梯度信息完全由引导图像的梯度信息决定,当引导图中有边界时,输出图像中对应位置也会有边界。而a和b的值将会决定梯度信息和平滑信息的权重大小。
通过观察a和b的公式,a的分子为I和P的协方差,分母部分为I的方差加上截断值ε;b的值为P的均值减去a乘以I的均值。可以看出当a值很小时,b约等于窗口内像素点的均值pk,近似于均值滤波;而当a值很大时,输出则主要取决于a*▽I的大小,梯度信息能够得到保留。
- C++实现灰度图像以及彩色图像的引导图滤波
根据原文献中提供的伪代码,不难用C++实现引导图滤波算法。伪代码如下:

这里需要分两种情况,1.引导图为单通道的灰度图;2.引导图为三通道的彩色图。
-
引导图为单通道
分别算出I与P的均值图像,以及I²和IP的均值图像;再求出I的方差图像,以及IP的协方差图像;利用公式求出a和b的值;再窗口内对a和b求均值;再根据公式算出输出图像。
这里又分为两种情况:
①输入图为单通道:按照上述步骤计算即可。
②输入图为三通道:先分离三个通道,对每个通道进行上述滤波操作,然后合并通道即可。 -
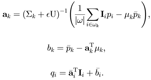
引导图为三通道
此时,将上述模型做了稍微修改,如下:

不同之处在于求a时将原来的方差σ替换为协方差3x3矩阵∑k,表示如下:

U是3x3单位矩阵,求出来的a将不再是一个值,而是一个13的向量,然后求b。a为13的向量,μk为3*1的向量,相乘后b为一常量,由此可以求得常量b的值。
这里又分为两种情况:
①输入图为单通道:按照上述步骤计算即可。
②输入图为三通道:先分离三个通道,对每个通道进行上述滤波操作,然后合并通道即可。
注:引导图为彩色图比引导图为灰度图,边界保护更加明显,见原文。
效果验证
代码里面求均值部分,可以由OpenCV中的boxFilter()函数实现,或者blur()函数实现。总之是一个均值滤波器,之所以与窗口大小无关,是因为使用直方图实现的均值滤波,能够大大降低运算时间。VS2015+OpenCV3.4.0实现的代码放在我的码云code上:https://gitee.com/rxdj/guidedFilter.git。
主要输入参数就是引导图I,输入图P,窗口半径r,截断值ε,输出参数为滤波后图像Q。引导图I和输入图像P可以相同,也可以不同,比如stereo matching中常常用原参考图像作为引导图,对代价空间图进行引导图滤波以实现代价聚合。这样能尽量保留原图像边界区域的匹配代价,而平滑平坦区域的匹配代价。
(注:文献中的代码是通过matlab编写的,matlab中读取图像时会自动将图像归一化到0-1,因此截断值ε的设置也对应小很多,比如0.1,0.01等。而本文中读取图像后未进行归一化操作,所以截断值ε的设置会有不同。如果需要归一化,则自行读取图像后除以255即可)。
- 单通道灰度图原图

改变截断值ε
r=10, ε=0 r=10, ε=100

r=10 , ε=2000 r=10, ε=8000
__

__
改变窗口半径r
r=0, ε=500 r=5, ε=500
___
__
_ r=10, ε=500 r=20, ε=500 _

_
- 三通道彩色图
原图

改变截断值ε
r=10, ε=0 r=10, ε=100

r=10 , ε=2000 r=10, ε=8000

改变窗口半径r
r=0, ε=500 r=5, ε=500

r=10, ε=500 r=20, ε=500

快速引导图滤波算法
__ 快速引导图滤波算法见文献《fast guided filter》,上述主页中也有。快速的地方主要是采用了图像金字塔思想。步骤如下:
- 对引导图像I和输入图像P进行1/s的降采样,得到I', P';
- 利用I'和P'计算系数a和b,并计算输出图像Q';
- 将Q'进行s倍的上采样得到最终输出图像Q。
由于计算部分是降采样的图像,运算量会大大减小,而不会引入明显的失真,因此成为快速引导图滤波。代码见上述码云code链接的fastGuidedFilter分支。
