余弦距离和欧式距离的关系
发布时间
阅读量:
阅读量
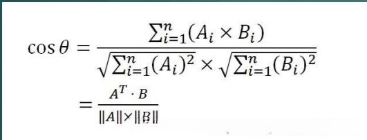
一,余弦距离:
取值范围为(-1,1)一般负数为误差导致的,可以当做0可以当做相似度的计

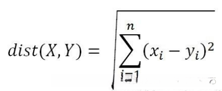
二,欧式距离:
得到的值不是在0-1之间:不适合用于相似度的计算

三,二者距离比较
从欧式距离cb之间jul最短,从余弦距离a c之间距离最短

四,二者关系转化
在图中,当向量x的二范式等于1时(即||x||=1),它表示二维空间中该向量在直角坐标系下的长度为1。当前两者的联系表现为它们的二范式均等于1的状态。满足余弦相似度与欧式距离等价性条件的模型设定是基于对所有样本进行L2正则化的优化框架。
例如图为x1和x2的二范式规划


全部评论 (0)
还没有任何评论哟~
