论文Pose-Guided Feature Alignment for Occluded Person Re-Identification
发布时间
阅读量:
阅读量
论文Pose-Guided Feature Alignment for Occluded Person Re-Identification
2019ICCV

主要思想 利用关节点信息来解决图像的遮挡问题,利用现成的人体姿态估计网络可以从图像中提取到行人的各个关节点,其中包括了位置信息和置信度,利用置信度(也即检测出的点属于真实关节点的概率)设定一个阈值就可以判断出这个位置是否被遮挡。
整体网络架构分成两个分支,
下面分支Partial Feature Branch 类似于PCB网络,先用backbone(ResNet50)提取全局feature map,然后进行水平分割,得到水平的局部的part,最终计算一个ID Loss
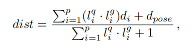
重点看一下上面的支路Pose-Guided Global Feature Branch 先用人体姿态估计网络AlphaPose提取到关键点(18个关键点就有18张feature map,每个feature map上是关于该关节点的高斯分布),每个关键点的feature map与上述ResNet50提取到的feature map相乘,得到18个关节点的feature map,经过池化在与全局池化后的全局特征concat得到了f_pose,从而可以计算一个ID Loss
测试时,用到了下面分支的水平局部特征和上面分支的f_pose


其中
全部评论 (0)
还没有任何评论哟~
