[渝粤教育] 南通大学 电路分析 参考 资料
教育
-电路分析-章节资料考试资料-南通大学【】
随堂测验:关联方向和非关联方向判断
1、【填空题】图中所示的电压源电压、电流i参考方向为 方向,电流源电压u、电流i参考方向为 方向。
A、
参考资料【 】
随堂测验:电源功率计算及判断
1、【填空题】图示电路电压源 (吸收/发出)功率 W。
A、
参考资料【 】
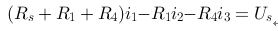
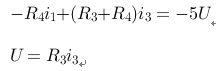
2、【填空题】图示电路5V电压源 (吸收/发出)功率 W,10V电压源 (吸收/发出)功率 W。
A、
参考资料【 】
随堂测验:基尔霍夫定律应用
1、【填空题】图示电路,电压
= V。<img src="http://edu-image.nosdn.127.net/29158645AA42EF45A6C155415A6D597F.png?imageView
A、
参考资料【 】
2、【填空题】图示电路,电流I为 A。
A、
参考资料【 】
1-1,1-2
1-6,1-7
1-3,1-4,1-5
第一章单元测验
1、【单选题】如图所示的电路中,电流
为( )A
A、6A
B、4A
C、2A
D、5A
参考资料【 】
2、【单选题】在图中,三个电阻消耗的功率为 ( )
A、15W
B、9W
C、无法计算
D、12W
参考资料【 】
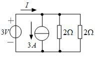
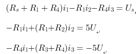
3、【单选题】图示电路中,( )是正确的。
A、电压源发出功率
B、电流源发出功率
C、电流源吸收功率
D、以上均不正确
参考资料【 】
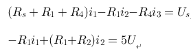
4、【单选题】图示电路中,( )是正确的。
A、5V电压源发出功率
B、10V电压源发出功率
C、10V电压源吸收功率
D、以上均不正确
参考资料【 】
5、【单选题】图示电路中,电流I为( )A
A、6A
B、5A
C、3A
D、5.5A
参考资料【 】
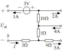
6、【填空题】图示的部分电路中,a、b两端的电压
为 V。
A、
参考资料【 】
7、【填空题】图示电路中,电压
为 V。
A、
参考资料【 】
8、【填空题】图示电路中,电流
为 A。
A、
参考资料【 】
9、【填空题】图示电路中,电流
为 A。
A、
参考资料【 】
10、【填空题】图示电路中,
为 V。<img src="http://edu-image.nosdn.127.net/235A13134BEA100DB3CC7C4929DACD06.png?imageView
A、
参考资料【 】
随堂测验:电阻并联分流
1、【填空题】3Ω 和 2Ω 电阻并联,若 3Ω 电阻上电流为 8A,则总电流为 A。
A、
参考资料【 】
随堂测验:等效电阻的求解
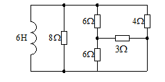
1、【填空题】如图所示,电路的等效电阻Rab为 Ω,其中R1=R2=1Ω,R3=R4=2Ω,R5=4Ω。
A、
参考资料【 】
2、【填空题】如图所示,电路的等效电阻Rab 为 Ω,其中R3=R4=2Ω,G1=G2=1S。<img src="http://edu-image.nosdn.127.net/9767FFDA13CC7A61BFE7D82FAF71605A.png?imageView
A、
参考资料【 】
3、【填空题】如图所示,电路的等效电阻Rab 为 Ω,其中R1=R2=1Ω,R3=R4=2Ω,R5= 4Ω。<img src="http://edu-image.nosdn.127.net/3846D10BE91954A1D68374D7AB48ABC0.png?imageView
A、
参考资料【 】
讨论:星形联结与三角形联结等效变换
1、【填空题】若星形联结中的3个电阻相等,均为R,则等效三角形联结中的三个电阻值为多少?
A、
参考资料【 】
随堂测验:利用电源的等效变换求电流
1、【填空题】 利用电源的等效变换,电路的电流 i 为 。
A、
参考资料【 】
随堂测验:求输入电阻值
1、【填空题】如图所示,输入电阻 Rab 为 。
A、
参考资料【 】
2-1,2-2
2-3
2-4,2-5
2-6
第二章单元测验
1、【单选题】 3Ω 和6Ω 电阻串联,若3Ω 电阻上电压为3V,则总电压为( )。
A、4V
B、4.5V
C、9V
D、6V
参考资料【 】
2、【单选题】理想电压源和理想电流源间( )。
A、有等效变换关系
B、没有等效变换关系
C、有条件下的等效关系
D、无条件下的等效关系
参考资料【 】
3、【单选题】已知接成Y形的三个电阻都是30Ω,则等效Δ形的三个电阻阻值为( )。
A、全是10Ω
B、两个30Ω一个90Ω
C、全是90Ω
D、全是30Ω
参考资料【 】
4、【单选题】如图所示,电路的等效电阻Rab为( )。<img src="http://edu-image.nosdn.127.net/233B3B995B21D7C0934C9EDD3F89E379.png?imageView
A、10Ω
B、5Ω
C、4Ω
D、3Ω
参考资料【 】
5、【单选题】如图所示,二端网络的等效电阻Rab为( )。
A、24Ω
B、-32Ω
C、36Ω
D、12Ω
参考资料【 】
6、【填空题】如图所示,电路的等效电阻 Rab 为 Ω。
A、
参考资料【 】
7、【填空题】如图所示,利用Y-△等效变换求a、b两端的等效电阻Rab为 Ω 。<img src="http://edu-image.nosdn.127.net/F21A83D981EA71B45B6D88466190707C.png?imageView
A、
参考资料【 】
8、【填空题】如图所示,根据电源等效变换,求电路中10Ω电阻的电流 i 为 A。<img src="http://edu-image.nosdn.127.net/D79B476D4C2534BBF39E9F54EE801922.png?imageView
A、
参考资料【 】
9、【填空题】如图所示,电路的输入电阻Rab为 Ω。
A、
参考资料【 】
10、【填空题】如图所示,电路中电压u 为 V。
A、
参考资料【 】
随堂测验:树、基本回路等概念巩固
1、【填空题】图示为电路的图,写出三种可能的树及其对应的基本回路。
A、
参考资料【 】
用回路电流法求解
1、【填空题】用回路电流法求解电流 i
A、
参考资料【 】
用结点电压法求解
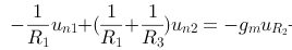
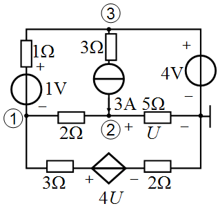
1、【填空题】列写电路的结点电压方程
A、
参考资料【 】
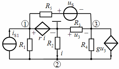
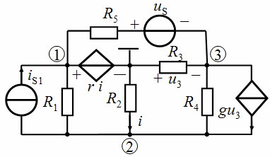
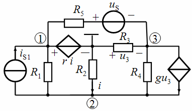
3-1
3-2,3-3,3-4,3-5,3-6,3-7
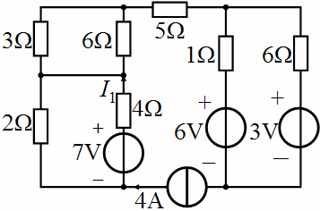
第三章单元测验
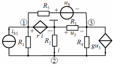
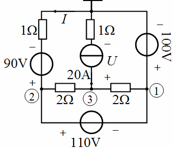
1、【单选题】图中,3个网孔电流方向已经标出,互阻
= <img src="http://edu-image.nosdn.127.net/2AC34148F6D718F0F86B2C545E88DCC0.png?imageView
A、
B、
C、
D、
参考资料【 】
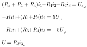
2、【单选题】图中,采用回路电流法对回路1列写的电压方程为 
A、
B、

C、

D、
参考资料【 】
3、【单选题】图中,采用回路电流法对回路3列写的电压方程为 
A、
B、
C、

D、

参考资料【 】
4、【单选题】列回路电流法方程。
A、
B、
C、

D、

参考资料【 】
5、【单选题】图中,结点a的KCL方程为 
A、
B、
C、
D、
参考资料【 】
6、【单选题】图中,用结点电压法列写结点2的方程为 
A、
B、
C、
D、
参考资料【 】
7、【单选题】图中,用结点电压法列写结点3的方程为 
A、
B、
C、
D、
参考资料【 】
8、【单选题】图中,用结点电压法列写结点3的方程为 
A、
B、
C、
D、
参考资料【 】
9、【判断题】图中,采用结点电压法对结点2列写的方程为

A、正确
B、错误
参考资料【 】
10、【判断题】图中,采用结点电压法对结点1列写的方程为

A、正确
B、错误
参考资料【 】
11、【判断题】图中,采用结点电压法对结点2列写的方程为

A、正确
B、错误
参考资料【 】
12、【判断题】图中,回路1的KVL方程为
。
A、正确
B、错误
参考资料【 】
13、【判断题】图中,回路2的KVL方程为
。
A、正确
B、错误
参考资料【 】
14、【判断题】图中,用回路电流法列写回路1的KVL方程为
。
A、正确
B、错误
参考资料【 】
15、【判断题】图中,用回路电流法列写回路2的KVL方程为
。
A、正确
B、错误
参考资料【 】
16、【判断题】图中,用回路电流法列写回路4的KVL方程为

A、正确
B、错误
参考资料【 】
17、【判断题】图中,用结点电压法列写结点2的方程为
。
A、正确
B、错误
参考资料【 】
18、【判断题】图中,用结点电压法列写结点3的方程为
。
A、正确
B、错误
参考资料【 】
19、【判断题】图中,用结点电压法列写结点2的方程为
。
A、正确
B、错误
参考资料【 】
20、【填空题】若一电路含有5个结点,8条支路,则树支数有 个。
A、
参考资料【 】
21、【填空题】图中,可列写 个独立的KCL方程。
A、
参考资料【 】
22、【填空题】图中,采用结点电压法对结点1列写的方程为 
A、
参考资料【 】
23、【填空题】若一电路含有5个结点,8条支路,则连枝数有 个。
A、
参考资料【 】
24、【填空题】若一电路含有5个结点,8条支路,则基本回路数有 个。
A、
参考资料【 】
25、【填空题】图中,可列写 个KVL方程。
A、
参考资料【 】
4-1,4-2,4-3
4-4,4-5
第四章单元测验
1、【单选题】图示电路中一端口等效电阻为( )

A、10
B、20
C、15
D、12
参考资料【 】
2、【单选题】图示电路中一端口等效电阻为( )

A、1000
B、1500
C、2000
D、1800
参考资料【 】
3、【单选题】

A、4欧姆
B、6欧姆
C、5欧姆
D、8欧姆
参考资料【 】
4、【单选题】图示电路中,用 方法求
最简单。
A、回路电流法
B、支路电流法
C、替代定理
D、结点电压法
参考资料【 】
5、【判断题】图示一端口网络(a)的戴维宁等效电路为(b)。

A、正确
B、错误
参考资料【 】
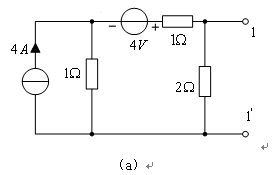
6、【判断题】一端口电路如图(a)所示,相应的戴维宁等效电路中开路电压4V,等效电阻2欧姆 。
A、正确
B、错误
参考资料【 】
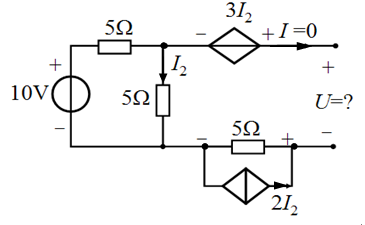
7、【判断题】图中,开路电压U为-2V
A、正确
B、错误
参考资料【 】
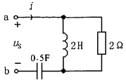
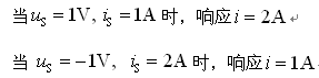
8、【判断题】封装好的电路如图,已知下列实验数据:
则:
2A
A、正确
B、错误
参考资料【 】
9、【判断题】图示电路中,
=2A
A、正确
B、错误
参考资料【 】
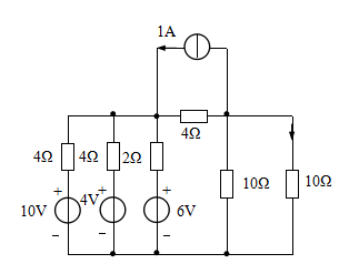
10、【填空题】图示电路中一端口等效电阻为
<img src="http://edu-image.nosdn.127.net/3B07CB58B38032E688F613B22684CC13.png?imageView
A、
参考资料【 】
11、【填空题】图示电路中一端口等效电阻为
<img src="http://edu-image.nosdn.127.net/BCB6CD0F7C00FB94BADF863EB9B978E2.png?imageView
A、
参考资料【 】
12、【填空题】下图所示电路中,当R=
时,它吸收的功率最大?
A、
参考资料【 】
13、【填空题】下图所示电路中,当
=
时能获得最大功率。
A、
参考资料【 】
随堂测验:电容元件电量的计算
1、【单选题】在直流电路中电容元件相当于( )。
A、短路
B、开路
C、通路
D、不一定
参考资料【 】
2、【填空题】1000μF的电容两端加了100V的电压,电容极板上的电量为 库仑。
A、
参考资料【 】
随堂测验:电感特性及作用
1、【单选题】电感是( )的元件。
A、储存电场能量
B、储存磁场能量
C、耗能
D、不储能也不耗能
参考资料【 】
2、【填空题】电感具有阻碍电流 的作用。
A、
参考资料【 】
随堂测验:电容、电感的求解
1、【填空题】电路如图所示,C1=1μF,C2=2μF,电路的总电容为 μF。<img src="http://edu-image.nosdn.127.net/D0EE06C846099189923B855B1E2775EE.png?imageView
A、
参考资料【 】
2、【填空题】L1=1H,L2=2H,电路ab端口的总电感为 H。(结果保留两位小数)
A、
参考资料【 】
6-1,6-2
第六章单元测验
1、【单选题】电容是( )的元件。
A、储存电场能量
B、储存磁场能量
C、耗能
D、既不储能也不耗能
参考资料【 】
2、【单选题】电阻是( )元件。
A、储存电场能量
B、储存磁场能量
C、耗能
D、既不储能也不耗能
参考资料【 】
3、【单选题】如图所示电容电路中,电压与电流的正确关系式应是( )。
A、
B、
C、
D、
参考资料【 】
4、【单选题】电容的定义式为( )。
A、
B、
C、
D、
参考资料【 】
5、【单选题】某电容器的电容为 C,如不带电时它的电容是( )。
A、0
B、等于C
C、小于C
D、大于C
参考资料【 】
6、【填空题】电感量为2mH电感中流有2A的稳定电流,该电感的储能为 焦耳。(保留三位小数)
A、
参考资料【 】
7、【填空题】250pF= μF
A、
参考资料【 】
8、【填空题】250mH= H
A、
参考资料【 】
9、【填空题】电路如图所示,C1=1μF,C2=2μF,C1上的电压为 V。(保留一位小数)<img src="http://edu-image.nosdn.127.net/598EF75E9E77D5CDEBE37B6770C2BCD3.png?imageView
A、
参考资料【 】
10、【填空题】容量为100μF的电容器两端的电圧为200V,则电容器的储能为 J。
A、
参考资料【 】
随堂测验:换路定则的应用
1、【单选题】电路动态过程产生的实质是( )。
A、电路有储能元件
B、开关的打开或闭合
C、元件的接通与断开
D、能量不能跃变
参考资料【 】
2、【填空题】动态电路的换路定则表现在储能元件电容的( )在换路前后不能产生跃变。
A、
参考资料【 】
3、【填空题】动态电路的换路定则表现在储能元件电感的( )在换路前后不能产生跃变。
A、
参考资料【 】
4、【填空题】电路如图所示,开关闭合前电路已得到稳态,换路后的瞬间,电容的电压为 V。<img src="http://edu-image.nosdn.127.net/10311343BBEB7174585994F40CB0D86F.png?imageView
A、
参考资料【 】
随堂测验:一阶电路的零输入响应
1、【填空题】只含有一个 元件的电路可以用一阶微分方程进行描述,因而称作一阶电路。
A、
参考资料【 】
2、【填空题】只由元件本身的原始能量引起的响应称为一阶电路的 响应。
A、
参考资料【 】
3、【填空题】由时间常数公式可知,RC 一阶电路中,C 一定时,R 值越大过渡过程进行的时间就越 。
A、
参考资料【 】
随堂测验:一阶电路的零状态响应定义及计算
1、【填空题】RC串联电路的零状态响应是指uc(0-) 零、外加激励不等于零时的响应。(t=0时换路)
A、
参考资料【 】
2、【填空题】由外激励引起的电路响应称为一阶电路的 响应。
A、
参考资料【 】
3、【填空题】时间常数 τ 的取值决定于电路的 和电路参数 。
A、
参考资料【 】
4、【填空题】图示电路的时间常数为____s。
A、
参考资料【 】
随堂测验:对一阶电路的全响应的理解
1、【单选题】一阶电路的三要素不包括( )。
A、初始值
B、新稳态值
C、时间常数
D、旧稳态值
参考资料【 】
2、【单选题】一阶电路的全响应等于( )。
A、稳态分量加零输入响应
B、稳态分量加瞬态分量
C、稳态分量加零状态响应
D、瞬态分量加零输入响应
参考资料【 】
7-1
7-2
7-3
7-4
第七章单元测验
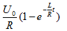
1、【单选题】容量为 C 的电容原有电压为U0,它通过电阻 R 的闭合电路放电,从接通电路开始计时,电容上的电压随时间的变化关系为( )。
A、
B、
C、
D、
参考资料【 】
2、【单选题】一个电压为U0的直流恒压源,通过开关K与电感L和电阻R串联构成闭合回路。现以开关闭合时开始计时,通过电感的电流为( )。
A、
B、
C、
D、
参考资料【 】
3、【单选题】1Ω电阻和 2H 电感并联一阶电路中,电感电压零输入响应为_______。
A、
B、
C、
D、
参考资料【 】
4、【单选题】如图所示电路在换路前已处于稳定状态,用三要素法求得开关闭合后的全响应uC (t)为( )。
A、
B、
C、
D、
参考资料【 】
5、【单选题】如图所示电路,C=100μF,R=5kΩ。电容上的初始电压为10V。 当开关K合上后,电容上的电压随时间的变化关系为( )。<img src="http://edu-image.nosdn.127.net/CE90A8D7A4F6D2FE3D9DA81FA2721428.png?imageView
A、
B、
C、
D、
参考资料【 】
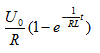
6、【填空题】图示电路的时间常数 τ 为 s。(资料为整数)
A、
参考资料【 】
7、【填空题】如图所示,电路的时间常数为 s。(保留两位小数)<img src="http://edu-image.nosdn.127.net/53052F38829CE2D4C0ED14DC518CE5CD.png?imageView
A、
参考资料【 】
8、【填空题】RL一阶电路中,L 一定时,R 值越大过渡过程进行的时间就越 。
A、
参考资料【 】
9、【填空题】在 RL 电路中,时间常数与电阻成 。
A、
参考资料【 】
10、【填空题】电路如图所示,开关闭合前电路已得到稳态,换路后的瞬间,支路的电流i2 为 mA。(资料为整数)<img src="http://edu-image.nosdn.127.net/09AB0EF7E687F0DF617B5685A01A299F.png?imageView
A、
参考资料【 】
8-1,8-2
8-3,8-4
第8章单元测验
1、【单选题】在正弦交流电路中,电感中的电流为
,则其瞬时值伏安关系可表达为( )
A、
B、 
C、 
D、 
参考资料【 】
2、【单选题】一个电热器,接在10V的直流电源上,产生的功率为P,把它改接在正弦交流电源上,使其产生的功率为P/2,则正弦交流电源电压的最大值为( )
A、7.07V
B、5V
C、10V
D、14.14V
参考资料【 】
3、【单选题】已知
,则( )
A、
超前
60°
B、
滞后
60°
C、相位差无法判断
D、
超前
150°
参考资料【 】
4、【单选题】实验室中的交流电压表和电流表,其读值是交流电的( )
A、最大值
B、有效值
C、瞬时值
D、最小值
参考资料【 】
5、【单选题】一个交流RC并联电路,已知
,总电流
等于 mA
A、14
B、10
C、4
D、2
参考资料【 】
6、【单选题】阻值为
的电阻两端的电压为
,则通过该电阻的电流
为( )
A、
B、
C、
D、
参考资料【 】
7、【判断题】
超前
为
电角度。
A、正确
B、错误
参考资料【 】
8、【判断题】基尔霍夫定律只适用于直流电路。
A、正确
B、错误
参考资料【 】
9、【判断题】几个电容元件相串联,其电容量一定增大。
A、正确
B、错误
参考资料【 】
10、【判断题】正弦波的幅值是有效值的
倍。
A、正确
B、错误
参考资料【 】
11、【判断题】电感在直流稳态电路中相当于开路。
A、正确
B、错误
参考资料【 】
12、【填空题】正弦交流电通过电感
时,
的相位
相位
。(填“超前”或“滞后”)
A、
参考资料【 】
13、【填空题】已知一正弦量
,该交流电流的有效值是 A。
A、
参考资料【 】
14、【填空题】交流电的 值等于与其热效应相同的直流电的数值。(填“最大”或“有效”)
A、
参考资料【 】
15、【填空题】有一电感元件,
,其上电压
,则通过的电流
为 A
A、
参考资料【 】
9-1,9-2,9-3
9-4,9-5,9-6,9-7
第9章单元测验
1、【单选题】下图所示电路中,
,则ab端的等效阻抗为( )
A、
B、
C、
D、
参考资料【 】
2、【单选题】无功功率的单位是( )
A、伏安(VA)
B、瓦(W)
C、乏(Var)
D、焦耳
参考资料【 】
3、【单选题】下图所示电路中,开关S断开时,电路呈电阻性,则当开关S闭合时,电路呈( )
A、电阻性
B、电感性
C、电容性
D、无法判断是电阻性、电感性还是电容性
参考资料【 】
4、【单选题】下图所示电路中,
,当
等于( )时获得最大功率。
A、
B、
C、
D、
参考资料【 】
5、【单选题】已知<img src="http://edu-image.nosdn.127.net/1D1F7DCBFB5B7C2C553AD2F798F26868.bmp?imageView
A、12.81A
B、2A
C、6A
D、0A
参考资料【 】
6、【判断题】串联电路的总电压超前电流时,电路一定呈感性。
A、正确
B、错误
参考资料【 】
7、【判断题】电感电容相串联,
,
,则总电压等于200V。
A、正确
B、错误
参考资料【 】
8、【判断题】只要在感性设备两端并联一电容器,即可提高电路的功率因数。
A、正确
B、错误
参考资料【 】
9、【判断题】视在功率在数值上等于电路中有功功率和无功功率之和。
A、正确
B、错误
参考资料【 】
10、【填空题】并联一个合适的电容可以提高感性负载电路的功率因数。并联电容后,电路的有功功率 (填“增大”、“减小”或“不变”)
A、
参考资料【 】
11、【填空题】图示RL串联正弦交流电路,已知
,则电路的有功功率P等于 W
A、
参考资料【 】
12、【填空题】图示中各电压表指示有效值,则电压表
的读数应为 V<img src="http://edu-image.nosdn.127.net/20EEA180910C2948CE31C4CEB27FEE6B.bmp?imageView
A、
参考资料【 】
13、【填空题】R、L、C 串联电路中,若复阻抗虚部小于零时,电路呈 (填“感性”、“容性”或“阻性”)
A、
参考资料【 】
14、【填空题】复功率的模对应正弦交流电路的 功率。(填“有功”、“无功”或“视在”)
A、
参考资料【 】
15、【填空题】R、L、C 并联电路中,电路复导纳虚部大于零时,电路呈 。(填“容性”、“阻性”或“感性”)
A、
参考资料【 】
RLC串联电路的谐振随堂测试
1、【单选题】处于谐振状态的RLC串联电路,当电源频率升高时,电路将呈现出( )
A、电阻性
B、电感性
C、电容性
D、保持原来的性能
参考资料【 】
2、【单选题】发生串联谐振的电路条件是( )
A、
B、
C、
D、
参考资料【 】
3、【判断题】串联谐振电路不仅广泛应用于电子技术中,也广泛应用于电力系统中。
A、正确
B、错误
参考资料【 】
4、【判断题】串联谐振在L和C两端将出现过电压现象,因此也把串谐称为电压谐振。
A、正确
B、错误
参考资料【 】
RLC并联谐振电路随堂测验
1、【单选题】RLC并联电路在f0时发生谐振,当频率增加到2f0时,电路性质呈( )
A、电阻性
B、电感性
C、电容性
D、保持原有电路性能
参考资料【 】
2、【单选题】下列说法中,( )是不正确的。
A、(电压一定时)并谐时电流最大
B、(电压一定时)并谐时电流最小
C、理想并谐时总电流为零
D、流过L的电流远远大于流过C的电流
参考资料【 】
3、【填空题】在含有L、C的电路中,出现总电压、电流同相位,这种现象称为 。这种现象若发生在并联电路中,则电路中阻抗最 ,并联谐振又称为 。
A、
参考资料【 】
11-5
11-13
第11章单元测验
1、【单选题】下列说法中,( )是正确的。
A、串谐时阻抗最小
B、并谐时阻抗最小
C、电路谐振时阻抗最小
D、电路谐振时阻抗最大
参考资料【 】
2、【单选题】在RLC串联正弦交流电路,已知XL=XC=20欧,R=20欧,总电压有效值为220V,电感上的电压为( )V。
A、0
B、220
C、73.3
D、-220
参考资料【 】
3、【单选题】在RLC正弦交流电路中(R为灯泡阻值),已知电源电压为220V,频率f=50HZ时,电路发生谐振。现将电源的频率增加,电压有效值不变,这时灯泡的亮度( )。
A、比原来亮
B、比原来暗
C、和原来一样亮
D、不确定
参考资料【 】
4、【多选题】在一RLC串联正弦交流电路中,用电压表测得电阻、电感、电容上电压均为10V,用电流表测得电流为10A,此电路中R,P,Q 和 S分别为( )。
A、1欧
B、100W
C、Q=0var
D、S=100VA
参考资料【 】
5、【多选题】发生谐振的电路条件,下面哪些说法正确( )
A、串联谐振的条件是:
B、并联谐振的条件是:
C、串联谐振的条件是:
D、并联谐振的条件是:
参考资料【 】
6、【填空题】已知串谐电路的线圈参数为“
”,接在角频率
的10V电压源上,调整电容当电路发生谐振时,品质因数Q= 。
A、
参考资料【 】
10-4,10-5
10-12,10-14
10-18
第10章单元测验
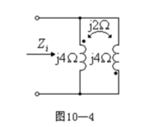
1、【单选题】<img src="http://edu-image.nosdn.127.net/58AF31F2D9E6C0CD590E5E293D105A7E.png?imageView<img src="http://edu-image.nosdn.127.net/2B8E791816BC0785FF3BF3BDD74CF174.png?imageView
A、A
B、B
C、C
D、D
参考资料【 】
2、【单选题】<img src="http://edu-image.nosdn.127.net/357A4DA614CB939DBC5A123B729DFA03.png?imageView<img src="http://edu-image.nosdn.127.net/F9E52BA9B9241DE12B871F22EA99C40B.png?imageView
A、A
B、B
C、C
D、D
参考资料【 】
3、【单选题】
A、A
B、B
C、C
D、D
参考资料【 】
4、【单选题】

A、A
B、B
C、C
D、D
参考资料【 】
5、【单选题】
A、A
B、B
C、C
D、D
参考资料【 】
6、【单选题】
A、A
B、B
C、C
D、D
参考资料【 】
7、【单选题】<img src="http://edu-image.nosdn.127.net/61CD181494C16A8B6868F6DF862169F8.png?imageView
A、A
B、B
C、C
D、D
参考资料【 】
