惯性组合导航原理—[1] 方向余弦矩阵
关于旋转矩阵和四元数的推导总是记不清楚,现在新开一个惯导系列的博客,记录最近对惯性导航方面的复习过程。
- 本文重点:方向余弦矩阵推导,为什么绕Y轴和其他两轴的DCM不同?
- 1.1 过渡矩阵
- 1.2 旋转矩阵的表示关系
一、旋转矩阵(方向余弦矩阵)
要搞清楚什么是旋转矩阵,就要先明白什么是过渡矩阵。
1.1 过渡矩阵
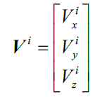
假设载体坐标系(b系)下单位矢量为
,惯性坐标系(i系)下单位矢量为
,则两坐标间存在如下的转换关系:
公式(1)
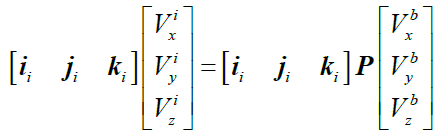
改写为矩阵形式可以得到:
公式(2)
其中P就称为从i系到b系的过渡矩阵。再假设有一个三维矢量,在i系和b系下的投影分别为:


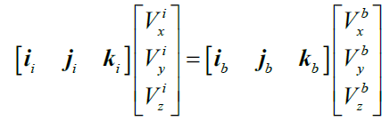
用投影表示法和坐标表示法分别可以表示为:
公式(3)投影表示法
公式(4)坐标表示法
将公式(2)代入公式(4)的右边部分不难得到:

这就是过渡矩阵P存在的意义,可简记为下式:

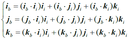
其中
表示从b系到i系的坐标变换矩阵,也就是从i系到b系的过渡矩阵(注意坐标系的前后顺序)。由于公式(2)的过渡矩阵中每一个元素均表示两坐标轴之间夹角的余弦值,因此便称
为方向余弦矩阵。(例如
表示坐标轴
和
之间夹角的余弦值
)。
在明白了什么是余弦矩阵后,我们就要尝试用余弦矩阵来表征坐标系之间的转换关系了。
1.2 旋转矩阵的表示关系
首先明白机体在绕不同轴转动时所产生的角度,定义俯仰角
(Pitch),横滚角
(Roll),偏航角
(Yaw)如下图:
俯仰角(Pitch),横滚角(Roll),偏航角(Yaw)的含义
假设现从导航坐标系(n系)旋转至载体坐标系(b系),**一般的旋转顺序为绕
依次旋转偏航角
、俯仰角
、横滚角
,(这也是最常见的旋转顺序)**按照此顺序旋转可以得到以下的方向余弦矩阵:

那么为什么三个方向的旋转矩阵长这样呢?那就一定要理解旋转前后的角度变换 关系。以Z轴为例,并确定左手坐标系(这个很重要,左手右手坐标系下会得到不同的旋转矩阵) ,从OP旋转至OP'的过程如下图所示,利用积化和差公式将旋转关系化简即可得到上述形式的旋转矩阵。

箭头指向的即为绕Z轴旋转的旋转矩阵,同理,绕X轴旋转俯仰角和绕Y轴旋转横滚角会得到类似的结果:

X轴和Y轴的旋转矩阵很相似,但是会发现为什么旋转Y轴时主对角线的矩阵负号相反了?
这是因为选定了左手坐标系的原因 (大拇指指向X轴,食指指向Y轴,中指指向Z轴)得到下列三种情况,求导过程与上述相同,只不过在绕Y轴旋转时X和Z轴的顺序要颠倒,具体看图中的公式:

所以就得到了从导航坐标系到载体坐标系的旋转矩阵
:

