方差,标准差,协方差,样本标准差,总体标准差,抽样平均误差
参考:http://www.cnblogs.com/cvlabs/archive/2010/03/26/1696978.html
http://blog.sina.com.cn/s/blog_586e81cb01000aeq.html
浙江大学概率论与数理统计
总体参数
方差:方差是变量与其平均值的平方和的算术平均值,例如:
有一组数据{4,5,6,7}, 平均值为:(4+5+6+7)/4=22/4=5.5
其方差为:[(4-5.5)2+(5-5.5)2+(6-5.5)2+(7-5.5)2]/4
标准差:方差的开2次方
例如上面那组数据的标准差为:{[(4-5.5)2+(5-5.5)2+(6-5.5)2+(7-5.5)2]/4}0.5
协方差:
在概率论与统计学领域中涉及的概率与统计方法中
期望值分别为 E(x) = μ 与 E(y) = ν 的两个实数随机变量 x 与 y 之间的协方差定义为:
[

](http://blog.photo.sina.com.cn/showpic.html#url=http://album.sina.com.cn/pic/003oM2KRzy6Pe19XDpX7d) 填写图片摘要(选填)
其中,E是期望值。它也可以表示为:
[

提交封面图或配图(可选)
从直观角度分析,covariance 体现两个变量之间的整体偏差,并非单独衡量某个变量的离散程度。与其相比,variance 主要用于衡量单一变量的离散程度。
其中E(x)的计算方法例如:
有两组数据X和Y,{X1=3,X2=4,X3=8},{Y1=2,Y2=5,Y3=5}
E(XY)=(32+45+8*5)/3=66/3=22
样本参数(用样本参数替代总体参数)
衡量数据波动程度的指标通常包括样本方差与标准差。其中当这些指标值越大时,则表示该组数据整体上呈现更大的离散状态。具体而言,在计算过程中通过平方运算将离均差进行放大处理从而能够更好地捕捉到数据中的细微变化。
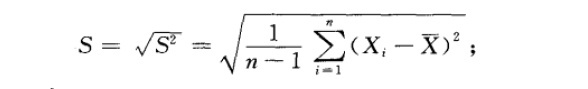
标准差比方差稍微方便的地方是标准差与样本的单位是相同的。
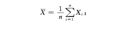
[

](http://blog.photo.sina.com.cn/showpic.html#url=http://album.sina.com.cn/pic/003oM2KRzy6PenquGZR73) 样本均值
[

样本方差
[

样本标准差
[

](http://blog.photo.sina.com.cn/showpic.html#url=http://album.sina.com.cn/pic/003oM2KRzy6PeqBnDVCe8) 填写图片摘要(选填)
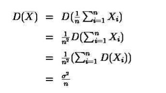
证明:
[

](http://blog.photo.sina.com.cn/showpic.html#url=http://album.sina.com.cn/pic/003oM2KRzy6PeqCb56d5d) 填写图片摘要(选填)
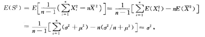
样本方差是总体方差的无偏估计:
[

](http://blog.photo.sina.com.cn/showpic.html#url=http://album.sina.com.cn/pic/003oM2KRzy6PeqGMXL02e) 填写图片摘要(选填)
[

](http://blog.photo.sina.com.cn/showpic.html#url=http://album.sina.com.cn/pic/003oM2KRzy6PfrqiznJ3b) 填写图片摘要(选填)
[

输入图片描述(可填)
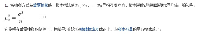
抽样平均误差
参考:http://wiki.mbalib.com/zh-tw/抽样平均误差
The standard deviation of sampling mean or proportion is a measure of the variability between different sample means or proportions, indicating the average degree to which they deviate from the population mean or proportion. Since multiple samples can be drawn from a single population, the sampling indices such as mean or proportion have different values, necessitating a single index to represent the general level of sampling error. The average of sampling means is equal to the population mean, and similarly, the average of sampling proportions is equal to the population proportion. Therefore, the standard deviation of sampling means or proportions actually reflects their average difference from the population mean or proportion.
[

](http://blog.photo.sina.com.cn/showpic.html#url=http://album.sina.com.cn/pic/003oM2KRzy6Pfv2QHT8e6) 填写图片摘要(选填)
[

](http://blog.photo.sina.com.cn/showpic.html#url=http://album.sina.com.cn/pic/003oM2KRzy6Pfv5tA3E3a) 填写图片摘要(选填)
估计量的评选标准(什么样的估计指标更加适合替代整体指标)
1.无偏性
[

](http://blog.photo.sina.com.cn/showpic.html#url=http://album.sina.com.cn/pic/003oM2KRzy6PemQbl8o84) 填写图片摘要(选填)
无偏性指的是该估计量在不同样本下的取值相对于真实值有时过高有时过低。尽管这些偏差在单次抽样中存在正负两种情况,在多次抽样后它们的平均值会与真实值一致。其实际意义在于无系统误差的影响。
2有效性
[

填写图片摘要
3相合性
[

提交图片摘要(可选)
