【自动驾驶】运动控制自行车模型运动规律图解
 发布时间 
 阅读量: 
 阅读量 
自行车模型运动规律图解
参数说明:
前轮中心f
后轮中心r
后轮中心速度v
前后轮轴距为L
车身横摆角(朝向)θ
前轮转向角α
转向中心O
后轮转向半径R
模拟方式:
1、车辆沿车身方向行走一个非常小的距离
2、即以后轮中心r为原点,以半径L画圆,此时与前轮朝向延长线交点即为前轮中心f的位置。
3、重复上述1-2步,经过一定时间,对后轮中心、前轮中心走过的位置进行拟合变得到转向中心。
结论:
车辆前后轮转弯半径不一致,但是是个同心圆。
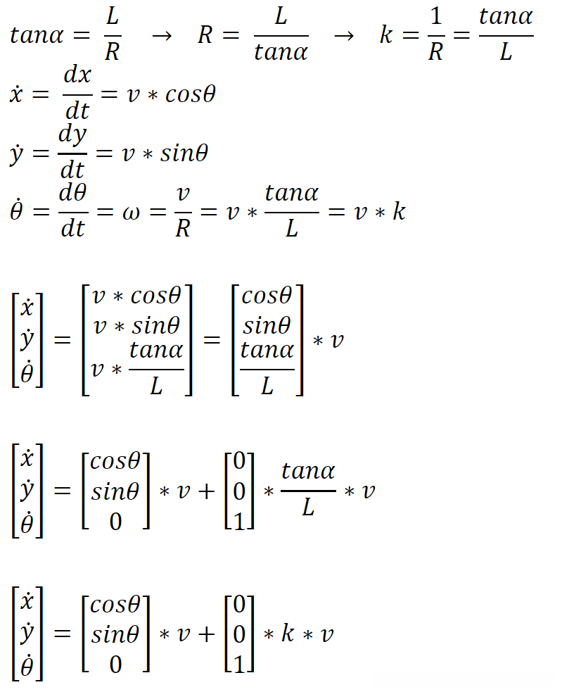
变量关系:


全部评论 (0)
 还没有任何评论哟~ 
