论文阅读之 Person Re-identification using Heterogeneous Local Graph Attention Networks
Heterogeneous Local Graph Attention Networks
-
1. 摘要
-
2. 主要贡献
-
3. 提出的模型
-
- 3.1 关系的定义
- 3.2 模型结构
-
4.实验
-
- 4.1 消融实验
- 4.2 参数分析
- 4.3 State-of-the-Art 的实验结果
-
参考文献
文章题目为基于异构局部图注意网络的再识别,提出了HLGAT,在一个统一的人Re-ID框架中建模局部间关系和局部内关系。将图卷积网络与注意力机制相结合,实现对行人重识别问题的研究。
1. 摘要
现状:最近,一些研究者通过研究 行人图片各部分的局部关系来研究行人重识别。
然而,现在的研究仅研究了单张行人图片中的各部分的内在局部关系 ,而忽略了不同图片各部分相互对应的局部关系 。这是不完整的局部关系信息。
解决办法: 提出了 异构局部图注意网络 (HLGAT) 。在完整的局部图中,同时建模图片内部各部分的局部关系(局部内关系) 和 图片间相互对应各部分的局部关系(局部间关系)。
具体实现: 使用局部特征构建完整的局部图,在学习局部内关系 和 局部间关系 的过程中,使用注意力机制 来突出不同局部特征的重要程度。为了更精确地描述 局部间关系 ,提出 注意力正则化损失 来限制局部特征的权重。对于局部内关系 ,考虑到结构信息,提出向注意力权重中加入上下文信息 。
解决效果: 在Market-1501、CUHK03、DukeMTMC-reID和MSMT17上的大量实验表明,提出的HLGAT方法是最先进的方法。
2. 主要贡献
- 提出了HLGAT ,在一个统一的 Re-ID 框架 中建模局部间关系和局部内关系。
- 具体地说,将局部特征作为节点来构建完整的局部图,在此图中同时从不同行人图像中学习到相应和相邻部分 之间的局部关系,以及从同一行人图像中学习到不同部分之间 的局部关系。
- 为了准确地建模局部关系,我们提出了注意正则化损失 来约束局部间关系的注意权值,并提出在局部内关系的注意权值中注入上下文信息 。
- 在四个公开可用的person Re-ID数据集上的实验结果证明,所提出的HLGAT方法以压倒性的优势超越 了目前最先进的方法。
3. 提出的模型
3.1 关系的定义
局部内关系:同一张行人图片中,各部分间的关系,如虚线所示
局部间关系: 不同行人图片中,相应部分间的关系 和 相邻部分间的关系,如实线所示

下面举个具体例子分析下:
以绿色三角为研究对象,其他绿色的图形都是局部内关系,之间用虚线连接,用 Nsi 表示 。
绿色三角和黄色三角是相应部分间关系,用 Nsp 表示。
绿色三角和黄色圆以及黄色正方形是相邻部分间关系,用 Nap 表示。

3.2 模型结构
主要包括三个部分:特征提取器,图注意力子网,嵌入子网。
- 特征提取器:使用 CNN 将行人图片变为特征图,调整分割策略将特征图分为几个水平的栅格,用全局池化的操作提取局部特征。
- 图注意力子网:将局部特征作为节点 来构造完成的局部图,同时学习局部间关系 和局部内关系 。这些节点由局部间边和局部内边连接。对于图中的每个节点,我们用注意权值对其所有邻居节点进行加权,然后对它们进行聚合,得到两种关系。同时,利用注意正则化损失 约束局部间边缘的注意权值,以准确描述局部间关系,并在局部间边缘中加入上下文信息 。
- 嵌入子网:使用全连接网络减少图注意力子网提取出特征的维度,并将减少维度后的特征作为预测输出。

4.实验
在 4 个大规模行人重识别数据集 Market-1501 [50], CUHK03 [20], DukeMTMC-reID [28]
and MSMT17 [38] 上进行了实验。
4.1 消融实验
对 局部间关系(记NSP和NAP)、注意正则化损失(记Lar)和局部内关系(记NSI) 等组件进行了消融实验。消融结果如下图所示:

分别从HLGAT中去除局部间关系(记为NSP和NAP)、注意正则化损失(记为Lar)和局部内关系(记为NSI)完成消融实验。
- 通过从不同行人图像的对应部分聚合局部特征来考虑局部间关系NSP。
- 通过整合不同行人图像相邻部分的局部信息,进一步考虑局部间关系NAP。
- 通过除去注意正规化损失Lar,完成消融实验。
- 通过去除局部内关系NSI,完成消融实验。
- 通过验证上下文信息的有效性NSI*,完成消融实验。
4.2 参数分析
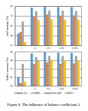
对关键超参数:均匀水平网格数P、调节系数K的影响、平衡系数λ的影响,进行了分析。
均匀水平网格数P(P = 8 最优,mAP 和 Rank-1)

调节系数K的影响( KSP = 1 和 KAP = 0.1最优)
对于局部间关系,当节点属于邻居节点集NSP时用KSP表示,当节点属于邻居节点集NAP时用KAP表示。

对于局部内关系,调节系数s可以控制调节系数K,s = 10 时结果最优。

平衡系数λ控制交叉熵损失和注意正则化损失的重要性,λ 为 0.01 时最优。

4.3 State-of-the-Art 的实验结果
在4个数据集上,将 HLGAT与最先进的方法进行了比较。比较结果验证了 HLGAT 方法的优越性。

