[渝粤教育] 沈阳理工大学 复变函数与积分变换 参考 资料
单选题

A、

B、

C、

D、

单选题

B、

选项C对应值为1;
选项D对应值为-1;
参考文献【

B、

C、

D、

单选题

A、

B、

C、

D、

参考资料【 】
2、【单选题】

A、

B、

C、

D、

参考资料

B、

C、

D、

参考资料【 】
1.3.1 复变函数的概念 随堂测验
1、【单选题】

A、

B、

C、

D、

参考资料【 】
2、【单选题】

A、

B、

C、

D、

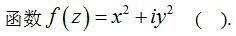
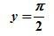
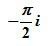
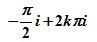
单选题
单选题

B、

C、

D、

参考资料【 】
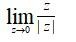
2、【单选题】下列哪一个极限存在( )
A、

B、

C、

D、

单选题

A、

B、

C、

D、

参考资料【 】
2、【单选题】

A、

B、

C、

D、

单选题

B、

C、

D、

单选题
单项选择题

B、

C、

D、

参考资料【 】
5、【单选题】

A、

B、

C、

D、

参考资料【 】
6、【单选题】

A、

B、

C、

D、

单选题
单选题

B、

C、

D、

参考资料【 】
8、【单选题】

A、

B、

C、

D、

单选题

B、

C、

D、

参考资料【 】
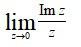
11、【单选题】

A、

B、

C、0
D、不存在
参考资料【 】
12、【判断题】

判断题
判断题
判断题

单选题

A、

B、

C、

D、

单选题
单选题
单选题

B、

C、

D、

单选题
空白处

B、

C、

D、

参考资料【 】
2、【单选题】

A、

B、

C、

D、

参考资料【 】
2.1.3 复变函数可导性与解析性的判定 随堂测验
1、【单选题】

A、

B、

C、

D、

单选题

B、

C、

D、

参考资料【 】
2.1.4 可导性与解析性判定的典型例题 随堂测验
1、【单选题】

A、

B、

C、

D、

参考资料【 】
2、【单选题】

A、

B、

C、

D、

单选题

B、

C、

D、

单选题
单选题

B、

C、

D、

单选题

B、

C、

D、

单选题

B、

C、

D、

参考资料【 】
2、【单选题】

A、

B、

C、

D、

参考资料【 】
2.2.3 初等函数(三)随堂测验
1、【单选题】

A、

B、

C、

D、

参考资料【 】
2、【单选题】

A、

B、

C、

D、

单选题

B、

C、

D、

参考资料【 】
2、【单选题】

A、

B、

C、

D、

单选题

B、

C、

D、

参考资料【 】
2、【单选题】

A、

B、

C、

D、

参考资料【 】
3、【单选题】

A、

B、

C、

D、

参考资料【 】
4、【单选题】

A、

B、

C、

D、

参考资料【 】
5、【单选题】

A、

B、

C、

D、

参考资料【 】
6、【单选题】

A、

B、

C、

D、

参考资料【 】
7、【单选题】

A、

B、

C、

D、

参考资料【 】
8、【单选题】

A、

B、

C、

D、

单选题
单项选择题

B、

C、

D、

单选题

B、

C、

D、

参考资料【 】
11、【单选题】

A、

B、

C、

D、

参考资料【 】
12、【单选题】

A、

B、

C、

D、

参考资料【 】
13、【单选题】

A、

B、

C、

D、

单选题
选择题
选择题

B、

C、

D、

参考资料【 】
15、【单选题】

A、

B、

C、

D、

单选题

B、

C、

D、

参考资料【 】
2、【单选题】

A、

B、

C、

D、

参考材料库

B、

C、

D、

参考资料【 】
2、【单选题】

A、

B、

C、

D、

参考资料【 】
3.2.2 复合闭路定理 随堂测验
1、【单选题】

A、

B、

C、

D、

参考资料【 】
2、【单选题】

A、

B、

C、

D、

单选题

B、

C、

D、

单选题
单选题

B、

C、

D、

单选题

B、

C、

D、

单选题
单选题

B、

C、

D、

参考资料【 】
3.3.2 解析函数的高阶导数 随堂测验
1、【单选题】

A、

B、

C、

D、

参考资料【 】
2、【单选题】

A、

B、

C、

D、

参考资料【 】
3.4.1 解析函数与调和函数的关系 随堂测验
1、【单选题】

A、

B、

C、

D、

参考资料【 】
2、【单选题】

A、

B、

C、

D、

单选题
单选题
单选题

A、

B、

C、

D、

单选题

B、

C、

D、

参考资料【 】
3、【单选题】

A、

B、

C、

D、

参考资料【 】
4、【单选题】

A、

B、

C、

D、

单选题
处

B、

C、

D、

单选题

B、

C、

D、

单选题

B、

C、

D、

参考资料【 】
8、【单选题】

A、

B、

C、

D、

参考资料【 】
9、【单选题】

A、

B、

C、

D、

参考资料【 】
10、【单选题】

A、

B、

C、

D、

单选题

B、

C、

D、

参考资料【 】
12、【单选题】

A、

B、

C、

D、

单选题

B、

C、

D、

参考资料【 】
14、【单选题】

A、

B、

C、

D、

参考资料【 】
15、【单选题】

A、

B、

C、

D、

参考资料【 】
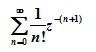
4.1.1 复数列 随堂测验
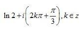
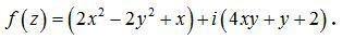
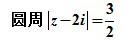
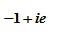
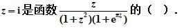
1、【单选题】<img src="http://edu-image.nosdn.127.net/ADBE59982614078ADC9FDF2057BFBA4B.jpg?imageView
A、

B、

C、

D、

参考资料【 】
2、【单选题】

A、

B、

C、

D、

参考资料【 】
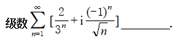
4.1.2 复数项级数 随堂测验
1、【单选题】

A、

B、

C、

D、

参考资料【 】
2、【单选题】

A、

B、

C、

D、

参考资料【 】
4.2.1 幂级数 随堂测验
1、【单选题】

A、

B、

C、

D、

单选题

B、

C、

D、

参考资料【 】
3、【单选题】

A、

B、

C、

D、

参考资料【 】
4.2.2 幂级数的运算和性质 随堂测验
1、【判断题】


单选题
判断题
单选题
判断题

B、

C、

D、

参考资料【 】
2、【单选题】

A、

B、

C、

D、

参考资料【 】
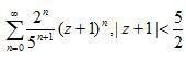
4.4.1 洛朗级数 随堂测验
1、【单选题】

A、

B、

C、

D、

参考资料【 】
2、【判断题】<img src="http://edu-image.nosdn.127.net/641F2393D3F8B0066110949C5D530958.jpg?imageView
A、正确
B、错误
参考资料【 】
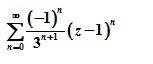
4.4.2 洛朗级数展开 随堂测验
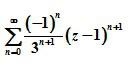
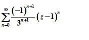
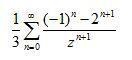
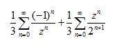
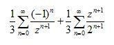
1、【单选题】 <img src="http://edu-image.nosdn.127.net/1CDD4D3C6588986831AFBFEAD52A83AD.jpg?imageView<img src="http://edu-image.nosdn.127.net/A3ED443BB6E5D07BD5DABE50F9294EB8.jpg?imageView
A、

B、

C、

D、

参考资料【 】
2、【单选题】

A、

B、

C、

D、

单选题

B、

C、

D、

参考资料【 】
第四章 级数 单元作业
第四章 级数 单元测验
1、【单选题】

A、

B、

C、

D、

参考资料【 】
2、【单选题】

A、

B、

C、

D、

参考资料【 】
3、【单选题】

A、

B、

C、

D、

参考资料【 】
4、【单选题】

A、

B、

C、

D、

参考资料【 】
5、【单选题】

A、

B、

C、

D、

参考资料【 】
6、【单选题】

A、1
B、0
C、-1
D、-2
参考资料【 】
7、【单选题】

A、1
B、0
C、

D、-1
参考资料【 】
8、【单选题】

A、

B、

C、

D、0
参考资料【 】
9、【单选题】

A、

B、

C、0
D、4
参考资料【 】
10、【单选题】

A、0
B、

C、10
D、

参考资料【 】
11、【单选题】

A、

B、

C、

D、

参考资料【 】
12、【判断题】

A、正确
B、错误
参考资料【 】
13、【判断题】

A、正确
B、错误
参考资料【 】
14、【判断题】

A、正确
B、错误
参考资料【 】
15、【判断题】

A、正确
B、错误
参考资料【 】
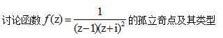
5.1.1 孤立奇点 随堂测验
1、【单选题】

单选题
多选题

C、

D、

参考资料【 】
5.1.2 孤立奇点分类的方法 随堂测验
1、【单选题】

A、

B、

C、

D、

参考资料【 】
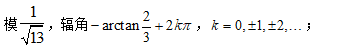
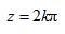
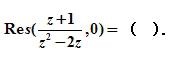
2、【单选题】<img src="http://edu-image.nosdn.127.net/2D5CF0BC5FFFAC74B1C1E06C8CA7556C.png?imageView
A、可去奇点
B、一级极点
C、一级零点
D、本性奇点
参考资料【 】
5.1.3 极点级数的判定方法 随堂测验
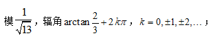
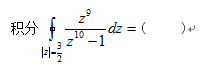
1、【单选题】<img src="http://edu-image.nosdn.127.net/C398D4BEB7AD181826EA3DC14F1FE5BB.png?imageView
A、

B、

C、

D、

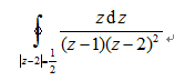
单选题
单选题

A、可去奇点
B、一级极点
C、二级极点
D、本性奇点
参考资料【 】
2、【单选题】

单选题

B、

C、

D、

单选题
单选题

A、

B、

C、

D、

单选题
单选题

B、

C、

D、


单选题

B、

C、

D、

单选题
单选题

B、0
C、

D、

参考资料【 】
2、【单选题】

A、

B、

C、

D、

参考资料【 】
5.3.1 留数在定积分计算中的应用 随堂测验
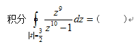
1、【单选题】

A、

B、

C、

D、

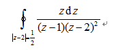
2、

B、

C、

D、

参考资料【 】
第五章 留数 单元作业
第五章 留数 单元测验
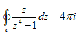
1、【单选题】

A、

B、

C、

D、

参考资料【 】
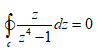
2、【单选题】

A、

B、

C、

D、

参考资料【 】
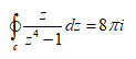
3、【单选题】

A、

B、

C、

D、

参考资料【 】
4、【单选题】

A、

B、

C、

D、

参考资料【 】
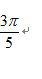
5、【单选题】

A、

B、

C、

D、

单选题
单选题

D、-1
参考资料【 】
8、【单选题】

A、

B、

C、

D、0
参考资料【 】
9、【单选题】

A、

B、

C、0
D、4
参考资料【 】
10、【单选题】

A、0
B、

C、10
D、

参考资料【 】
11、【单选题】

A、

B、

C、

D、

参考资料【 】
12、【判断题】

A、正确
B、错误
参考资料【 】
13、【判断题】

A、正确
B、错误
参考资料【 】
14、【判断题】

判断题
单选题

B、

C、

D、

参考资料【 】
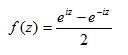
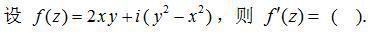
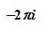
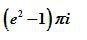
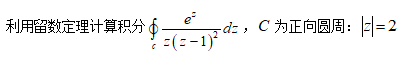
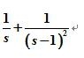
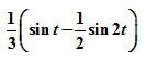
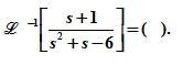
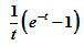
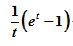
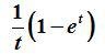
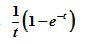
2、【单选题】<img src="http://edu-image.nosdn.127.net/15249D7915F70994F8C1627230B55092.jpg?imageView
A、

B、

C、

D、

参考文献
单选题
参考文献
单选题
参考文献
单选题

A、

B、

C、

D、

参考资料【 】
2、【单选题】

A、

B、

C、

D、

单选题

B、

C、

D、

参考资料【 】
2、【单选题】

A、

B、

C、

D、

参考资料【 】
6.3.2 Fourier变换的性质(2) 随堂测验
1、【单选题】

A、

B、

C、

D、

参考资料【 】
2、【单选题】

A、

B、

C、

D、

参考资料【 】
7.2.1 Laplace变换的性质(1) 随堂测验
1、【单选题】

A、

B、

C、

D、

参考资料【 】
2、【单选题】

A、

B、

C、

D、

参考资料【 】
7.2.2 Laplace变换的性质(2) 随堂测验
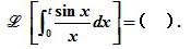
1、【单选题】

A、

B、

C、

D、

单选题
单项选择题

B、

C、

D、

单选题

B、

C、

D、

参考资料【 】
2、【单选题】

A、

B、

C、

D、

参考资料【 】
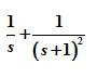
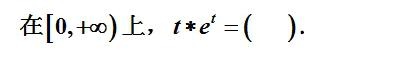
7.4.1 Laplace逆变换的计算(1) 随堂测验
1、【单选题】<img src="http://edu-image.nosdn.127.net/F1E060AC017708351BE7633CDAC8E772.jpg?imageView
A、

B、

C、

D、

参考资料【 】
2、【单选题】

A、

B、

C、

D、

单选题

B、

C、

D、

参考资料【 】
2、【单选题】

A、

B、

C、

D、

参考资料【 】
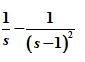
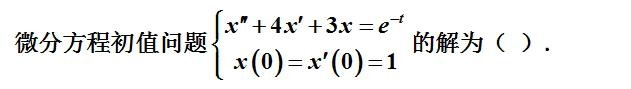
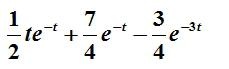
7.5.1 Laplace变换的应用 随堂测验
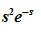
1、【单选题】<img src="http://edu-image.nosdn.127.net/C28D8C355ED6AE791C81E0DF1795151F.png?imageView
A、

B、

C、

D、

参考资料【 】
2、【单选题】

A、

B、

C、

D、

单选题

B、

C、

D、

参考资料【 】
2、【单选题】

A、

B、

C、

D、

参考资料【 】
