关于位姿变换的一点体会
关于位姿变换的一点体会
-
1.题外话
-
2.刚体的位姿变换
-
- 2.1 位姿变换的定义
- 2.2 旋转矩阵的具体形式
-
- 2.2.1 二维情况
- 2.2.2 三维情况
-
3.旋转方向
-
4.平移方向
1.题外话
对于刚体的位姿变换问题,以前总觉得很简单,不就是个旋转平移嘛。可是几天手动做了的坐标变换却做了很久才做好。究其原因,还是有些问题没弄清楚。所以,今天在此写篇博客,彻底把这个过程捋一捋。
2.刚体的位姿变换
2.1 位姿变换的定义
确实,刚体的姿态变换就两部分:旋转和平移 。先来看看书上是怎么介绍旋转和平移的。在《视觉slam十四讲》中,对于这部分内容是这样将的:
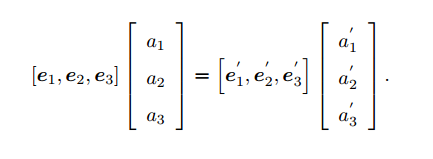
我们设某个单位正交基(e_{1},e_{2},e_{3})经过一次旋转,变成了 (e'_{1},e'_{2},e'_{3})。那么,对于同一个向量 a(注意该向量并没有随着坐标系的旋转而发生运动),它在两个坐标系下的坐标为[a_{1}; a_{2}; a_{3}]^T 和 [a′_{ 1}; a′_{ 2}; a′ _{3}]^T。根据坐标的定义,有:

为了描述两个坐标之间的关系,我们对上面等式左右同时左乘[e^T_{1},e^T_{2},e^T_{3}]^T,那么左边的系数变成了单位矩阵,所以

我们把中间的阵拿出来,定义成一个矩阵 R。这个矩阵由两组基之间的内积组成,刻画了旋转前后同一个向量的坐标变换关系。只要旋转是一样的,那么这个矩阵也是一样的。可以说,矩阵 R 描述了旋转本身。因此它又称为旋转矩阵。
在欧氏变换中,除了旋转之外还有一个平移。考虑世界坐标系中的向量 a,经过一次旋转(用R 描述)和一次平移 t 后,得到了 a′,那么把旋转和平移合到一起,有:
a′= Ra + t
其中, t 称为平移向量。相比于旋转,平移部分只需把这个平移量加到旋转之后的坐标上,显得非常简洁。
以上内容摘自《视觉slam十四讲》第三章中的内容。
2.2 旋转矩阵的具体形式
从上面的内容可以看到,旋转矩阵是由两组基向量的内积组成。接下来再看看沿各个坐标轴进行旋转的旋转矩阵怎样写。
2.2.1 二维情况
对于二维的情况,比较简单。旋转矩阵(旋转方向为逆时针)为:
R= \left[ \begin{matrix} cos(\theta) & -sin(\theta)\\ sin(\theta) & cos(\theta) \end{matrix} \right]
2.2.2 三维情况
绕x轴进行旋转(在yz平面逆时针旋转)
R= \left[ \begin{matrix} 1& 0& 0\\ 0&cos(\theta) & -sin(\theta)\\ 0&sin(\theta) & cos(\theta) \end{matrix} \right]
绕y轴进行旋转(在xz平面逆时针旋转)
R= \left[ \begin{matrix} cos(\theta) & 0& -sin(\theta)\\ 0&1&0 \\ sin(\theta)& 0& cos(\theta) \end{matrix} \right]
绕z轴进行旋转(在xy平面逆时针旋转)
R= \left[ \begin{matrix} cos(\theta) & -sin(\theta)& 0\\ sin(\theta)& cos(\theta)& 0\\ 0&0&1 \\ \end{matrix} \right]
3.旋转方向
下面来考虑一个简单的问题。
问题 :将点p =(1,0),按照旋转矩阵R进行旋转,旋转后的坐标为多少?
R = \left[ \begin{matrix} cos(\theta) & -sin(\theta)\\ sin(\theta) & cos(\theta) \end{matrix} \right] ,\theta=\pi/2
这个问题很简单,口算都可以算出答案是p'=(0,1)。
但这里面有些问题需要搞清楚。按照旋转矩阵R进行旋转,我们将点p =(0,1)变换为了p'=(1,0)。相当于把点p逆时针旋转了\pi/2。这并没有什么问题。在上一节的旋转矩阵的定义中,我们也说了这种形式的旋转矩阵是进行逆时针旋转。

但是问题在于,很多情况下点的位置是固定的,它并不会发生变化。旋转之后发生变化的是坐标系。也就是说,旋转过后,点p的实际位置并没有变,它还是在那个位置。但是它的坐标变了(p'=(0,1)),也就是所在的坐标系变了。那坐标系是怎么旋转的呢?刚好与坐标旋转的方向相反——顺时针旋转 。

这个道理同时适用于三维的情况。
我觉得,能把这个问题想清楚很重要。
4.平移方向
进行平移变换的时候,同样存在上面的问题。
我们可以考虑一下。将点p = (1,1)按向量(1,2)进行平移,很显然平移后的坐标为p'=(2,3)。如下图所示:

同样,很多情况下点的位置是固定的,变化的是坐标。所以,如果点的位置不变,在进行平移之后点的坐标变为了p'=(2,3),那只能是坐标系进行了平移。那坐标系是怎么平移的呢?——与坐标平移方向相反,按向量(-1,-2)进行平移。如下图所示

总结一下:关于旋转和平移,必须要想清楚是对点(或向量)进行旋转平移还是对坐标系进行旋转平移。
