旋转矩阵和旋转向量
发布时间
阅读量:
阅读量
三维旋转有多种不同的表示方法:分别是旋转矩阵和旋转向量。其中,旋转矩阵用以进行计算;而旋转向量则用以实现直观描述。
- 计算方法
旋转后的向量 =旋转矩阵 * 原向量;
- 直观描述
原向量绕旋转向量逆时针旋转,角度为旋转向量的模;
旋转矩阵和旋转向量可以通过罗德里格斯(Rodrigues)变换相互转换。
(1)旋转向量 -> 旋转矩阵

(2)旋转矩阵 -> 旋转向量

--------------------------------------------------分割线------------------------------------------------------------------
计算导数dR/dr
(参考了张正友那个标定包里的代码)
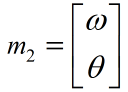
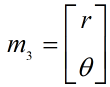
(1) 首先引入三个主要中间变量m1、m2、m3:

,

,

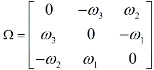
和一些次要的变量:

,

,

,

,

,

旋转矩阵R表达式如下

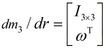
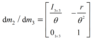
(2) 分别计算导数dm1/dm2、dm2/dm3、dm3/dr:

,

,

,

其中

,

,


(3)求得最终导数dR/dr

全部评论 (0)
还没有任何评论哟~
