全要素生产率的DEA-malmquist方法详解
在学习DEA-malmquist方法时,发现现在的文章都直接从距离函数
出发,却没有解释距离函数到底代表什么,在参考了文献后,按个人理解整理如下。
在t时期,设定技术集为
,则在该技术水平下投入集为
(1)
代表给定产出
所需要的投入
的所有可能。
对投入集,有一些假定:① it is a closed convex set for all
②
③
,
。这些假定翻译一下就是②有产出,则必有投入③投入的更多,产出却可能不变;相同的投入,产出可能会减少。
现在假设有K个观察对象,N种投入,M种产出,T个周期。由(1)式

式(2)的约束条件体现了规模报酬不变性和投入产出的可自由组合性。对于K个观察对象的投入情况,做一个线性组合,那么就能得到相同线性组合后的产出。比如,A一小时能种10棵树,B一小时能种5棵树,那A和B一起一小时就能种15棵树,两小时就能种30棵树(规模报酬不变,不会因为疲惫减少产出)。而A和B三小时种30棵树、两小时种25棵树的情况都是在既定技术范畴内,是合理的,这也就是≥和≤的含义。
在t时期,基于投入的Malmquist指数定义为
(3),
式(3)测度了在
的条件下
可以收缩的最大程度。也就是
和要达到
产出所需的最优投入
间的距离。显然,
。

进一步的,针对单个观察对象,t时期的Malmquist指数的计算为

之后,就是常见的从t时期到t+1时期的Malmquist指数公式
(5),
涉及到四个线性规划的问题,这部分就不考虑了,不会。指数计算软件都能实现,Rstudio调包Benchmarking。
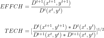
式(5)还可以再分解为EFFCH和TECH两部分,分别代表技术效率变化指数和技术进步变化指数,都很好理解了。

Fare关于这方面的文章有很多,除了从投入角度定义,还有从产出角度定义的,郑京海(2002)文章中理论部分引用的就是Fare从产出角度给出的。
参考文献:
[1]郑京海,刘小玄,Arne Bigsten.1980—1994期间中国国有企业的效率、技术进步和最佳实践[J].经济学(季刊),2002(02):521-540.
[2]Fare.Grosskopf.Productivity Changes in Swedish Pharamacies 1980-1989: A Non-Parametric Malmquist Approach[J].The Journal of Productivity Analysis, 1992(3):85-101.
